🇳🇴 🇬🇧 🇩🇪 🇨🇿 🇫🇮

Meteor, poloha: Vikersund 2016-04-22 00:57:44 UTC

Soubor KML  |  InteraktivnĂ­ mapa

Mapa zobrazuje dráhy meteoru. Světlejší čáry ukazují směry od pozorovacích stanic při objevení se meteoru a tmavší čáry, kde byl naposledy viděn. Modrá šipka značí viditelnou dráhu meteoru.

static map
height profile
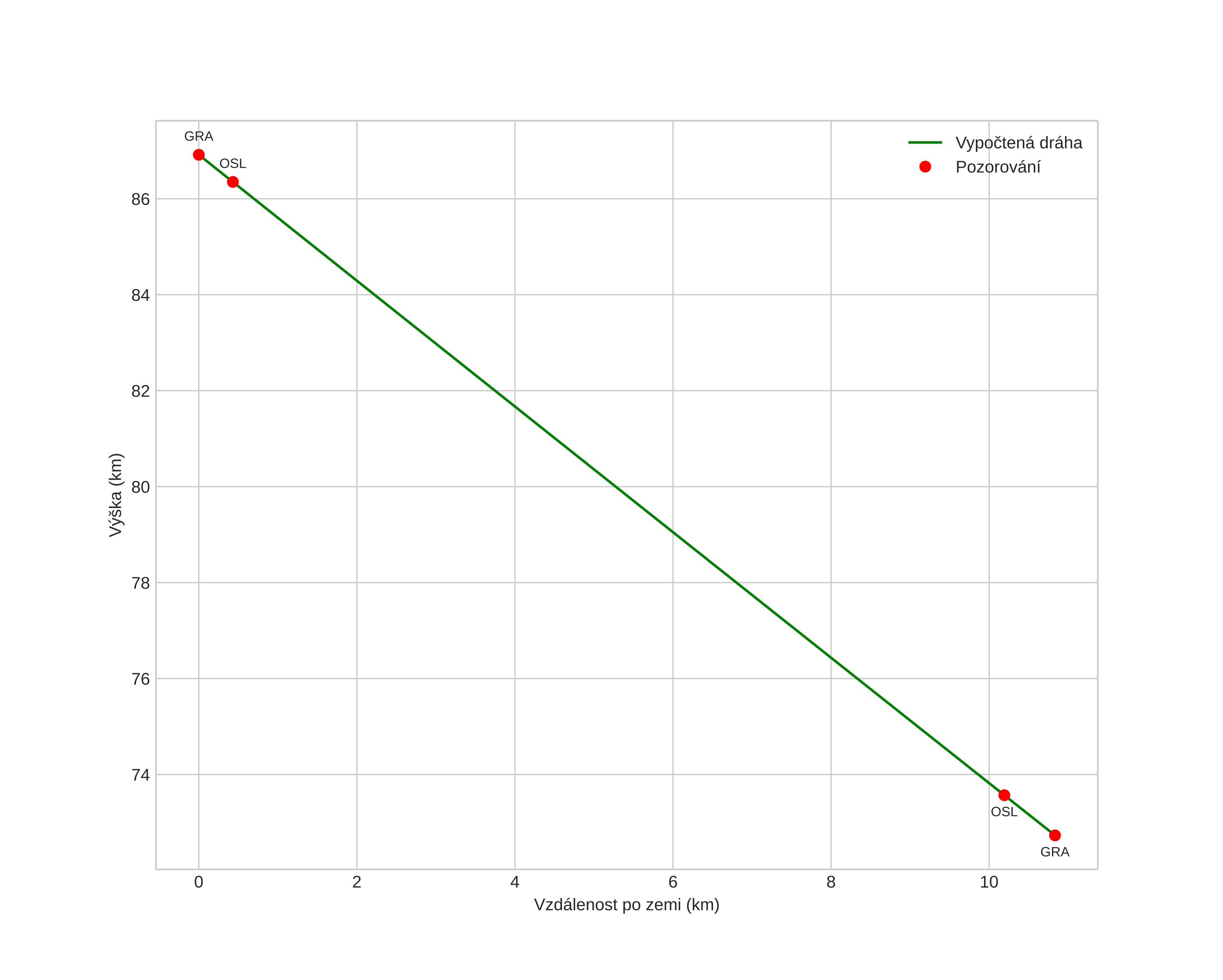
Atmosférická dráha meteoru:
Počáteční výška: 86,9 km
Konečná výška: 72,7 km
Počáteční poloha: 60,112N 10,011E
Konečná poloha: 60,016N 10,041E
Směr: 171,0°
Sklon: 52,7°
VstupnĂ­ rychlost: 16,7 km/s
Rektascenze radiantu: 05:34 (83,7°)
Deklinace radiantu: 75,6°
MeteorickĂ˝ roj: sporadickĂ˝
Elementy dráhy meteoroidu:
Vzdálenost v periheliu: 0,983 AU
Excentricita: 0,605
Sklon dráhy: 15,3°
Délka vzestupného uzlu: 32,1°
Argument perihelia: 160,4°
Střední anomálie: 3,9°
Epocha: 2016 APR 22 00:57:44
orbit plot

NeinteraktivnĂ­ graf | InteraktivnĂ­ graf

position vs time
speed and acceleration