🇳🇴 🇬🇧 🇩🇪 🇨🇿 🇫🇮

Meteor Vikersundin yllä 2016-04-22 00:57:44 UTC

KML-tiedosto  |  Interaktiivinen kartta

Kartta näyttää meteorin suuntahavainnot. Vaaleammat viivat näyttävät suunnat havaintoasemilta meteorin ilmestyessä, ja tummemmat viivat näyttävät, missä se viimeksi nähtiin. Sininen nuoli näyttää meteorin näkyvän lennon.

static map
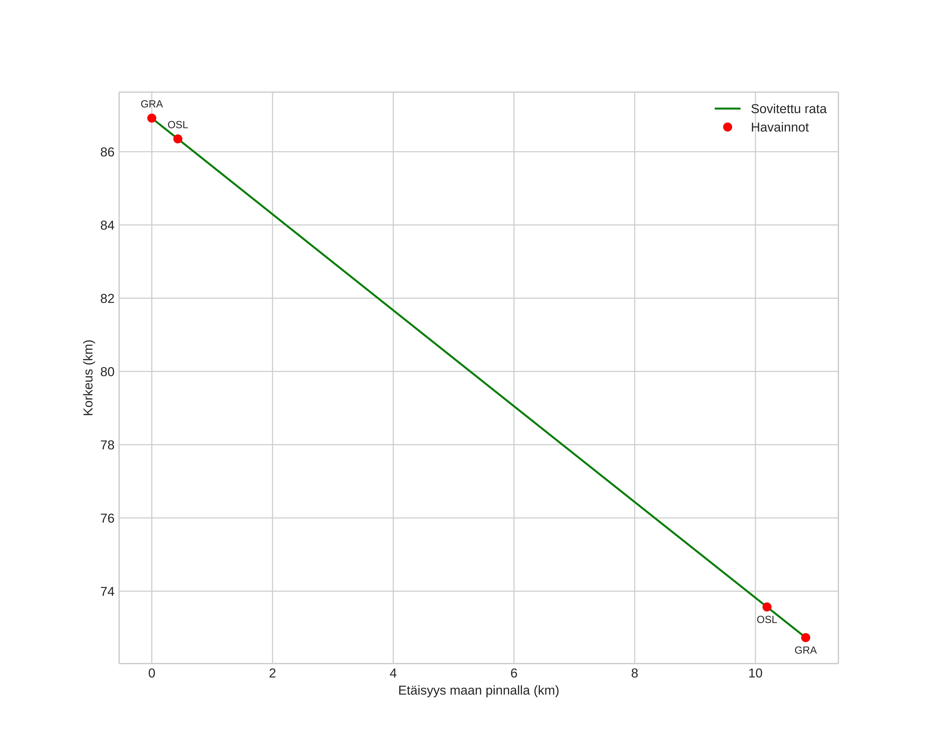
height profile
Meteorin ilmakehärata:
Alkukorkeus: 86,9 km
Loppukorkeus: 72,7 km
Alkupiste: 60,112N 10,011E
Loppupiste: 60,016N 10,041E
Suunta: 171,0°
Kallistuskulma: 52,7°
Tulonopeus: 16,7 km/s
Radiantin R,A,: 05:34 (83,7°)
Radiantin Dekl,: 75,6°
Meteoriparvi: Sporadinen
Meteoroidin rataelementit:
Perihelietäisyys: 0,983 AU
Eksentrisyys: 0,605
Inklinaatio: 15,3°
Nousevan solmun pituus: 32,1°
Perihelin argumentti: 160,4°
Keskianomalia: 3,9°
Epookki: 2016 APR 22 00:57:44
orbit plot

Ei-interaktiivinen kuvaaja | Interaktiivinen kuvaaja

position vs time
speed and acceleration