🇳🇴 🇬🇧 🇩🇪 🇨🇿 🇫🇮

Meteor, poloha: Västra Hagen 2016-04-22 03:02:30 UTC

Soubor KML  |  InteraktivnĂ­ mapa

Mapa zobrazuje dráhy meteoru. Světlejší čáry ukazují směry od pozorovacích stanic při objevení se meteoru a tmavší čáry, kde byl naposledy viděn. Modrá šipka značí viditelnou dráhu meteoru.

static map
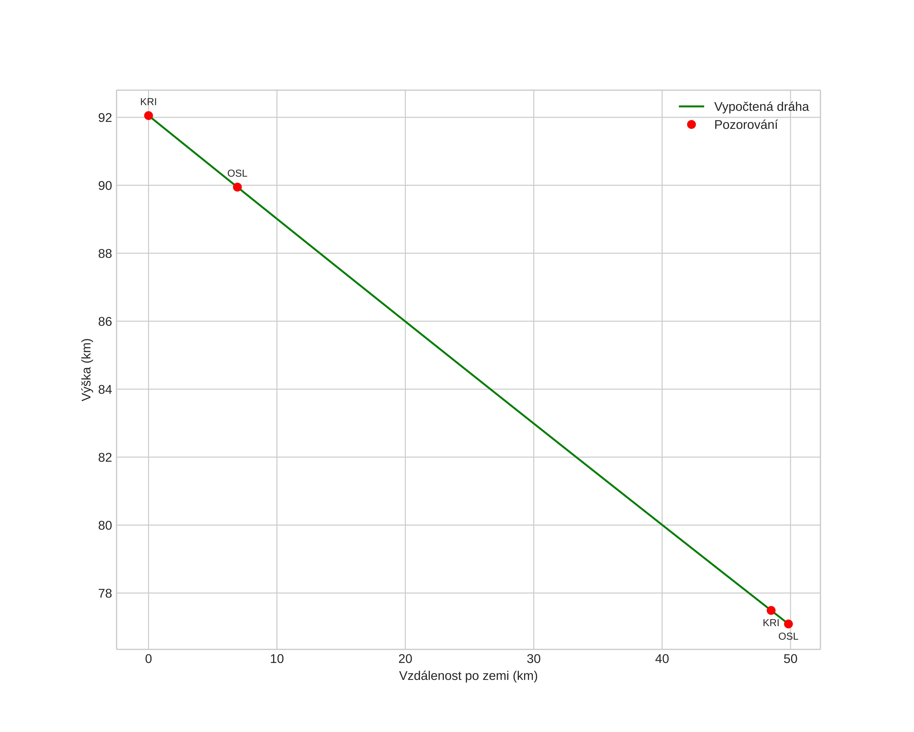
height profile
Atmosférická dráha meteoru:
Počáteční výška: 92,1 km
Konečná výška: 77,1 km
Počáteční poloha: 56,944N 11,097E
Konečná poloha: 57,267N 11,669E
Směr: 43,7°
Sklon: 16,8°
VstupnĂ­ rychlost: 37,3 km/s
Rektascenze radiantu: 14:56 (224,2°)
Deklinace radiantu: -9,6°
MeteorickĂ˝ roj: sporadickĂ˝
Elementy dráhy meteoroidu:
Vzdálenost v periheliu: 0,291 AU
Excentricita: 0,971
Sklon dráhy: 11,1°
Délka vzestupného uzlu: 32,2°
Argument perihelia: 296,2°
Střední anomálie: 358,8°
Epocha: 2016 APR 22 03:02:30
orbit plot

NeinteraktivnĂ­ graf | InteraktivnĂ­ graf

position vs time
speed and acceleration

Kristiansand (KRI) cam3

fireball
gnomonic
Videa
• Gnomonická
• Gnomonická se souřadnicemi
Obrázky
• Gnomonická
• Gnomonická se souřadnicemi
• Gnomonická s popisky
• Původní
• Původní se souřadnicemi
• Původní s maskou
Textové soubory
• Detekce
• Pozorování
• Souřadnice
• Chybová hlášení
• Protokol
Jasnost