🇳🇴 🇬🇧 🇩🇪 🇨🇿 🇫🇮

Meteor über Västra Hagen 2016-04-22 03:02:30 UTC

KML-Datei  |  Interaktive Karte

Die Karte zeigt die Peilungen für den Meteor. Die helleren Linien zeigen die Richtungen von den Beobachtungsorten beim Erscheinen des Meteors, und die dunkleren Linien, wo er zuletzt gesehen wurde. Der blaue Pfeil zeigt die sichtbare Bahn des Meteors.

static map
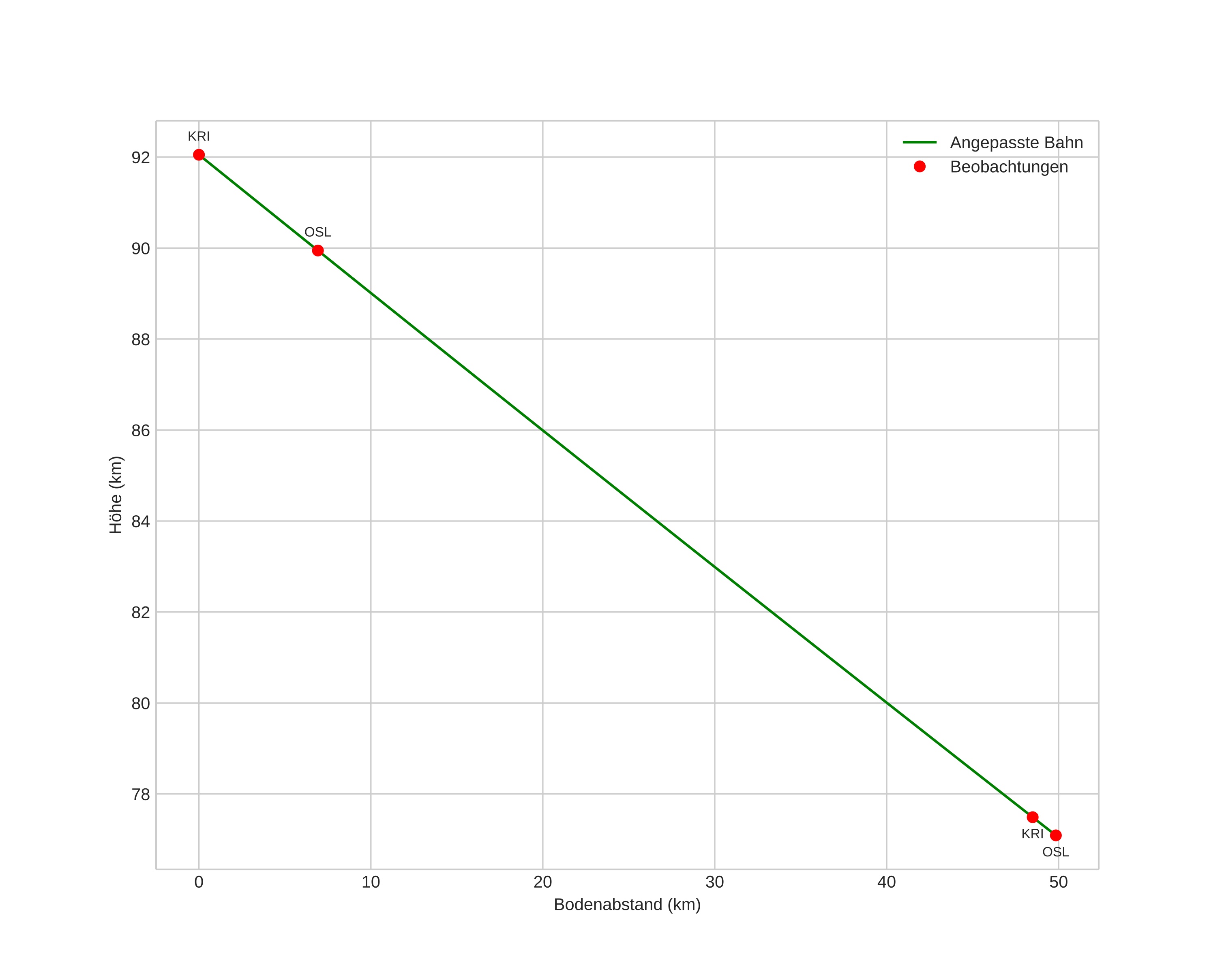
height profile
Atmosphärische Bahn des Meteors:
Anfangshöhe: 92,1 km
Endhöhe: 77,1 km
Startposition: 56,944N 11,097E
Endposition: 57,267N 11,669E
Richtung: 43,7°
Neigungswinkel: 16,8°
Eintrittsgeschwindigkeit: 37,3 km/s
Rektaszension des Radianten: 14:56 (224,2°)
Deklination des Radianten: -9,6°
Meteorstrom: sporadisch
Bahnelemente des Meteoroiden:
Periheldistanz: 0,291 AU
Exzentrizität: 0,971
Inklination: 11,1°
Länge des aufsteigenden Knotens: 32,2°
Argument des Perihels: 296,2°
Mittlere Anomalie: 358,8°
Epoche: 2016 APR 22 03:02:30
orbit plot

Nicht-interaktives Diagramm | Interaktives Diagramm

position vs time
speed and acceleration

Kristiansand (KRI) cam3

fireball
gnomonic
Videos
• Gnomonisch
• Gnomonisch mit Koordinaten
Bilder
• Gnomonisch
• Gnomonisch mit Koordinaten
• Gnomonisch mit Beschriftungen
• Original
• Original mit Koordinaten
• Original mit Maske
Textdateien
• Erkennung
• Beobachtung
• Koordinaten
• Fehlermeldungen
• Protokoll
Helligkeit

Voksenlia (OSL) cam1


gnomonic
Videos
• Gnomonisch
• Gnomonisch mit Koordinaten
• Original
• Original mit Koordinaten
Bilder
• Gnomonisch
• Gnomonisch mit Koordinaten
• Gnomonisch mit Beschriftungen
• Original
• Original mit Koordinaten
• Original mit Maske
Textdateien
• Erkennung
• Beobachtung
• Koordinaten
• Fehlermeldungen
• Protokoll
Helligkeit