🇳🇴 🇬🇧 🇩🇪 🇨🇿 🇫🇮

Meteor, poloha: Ask 2016-04-22 21:04:04 UTC

Soubor KML  |  InteraktivnĂ­ mapa

Mapa zobrazuje dráhy meteoru. Světlejší čáry ukazují směry od pozorovacích stanic při objevení se meteoru a tmavší čáry, kde byl naposledy viděn. Modrá šipka značí viditelnou dráhu meteoru.

static map
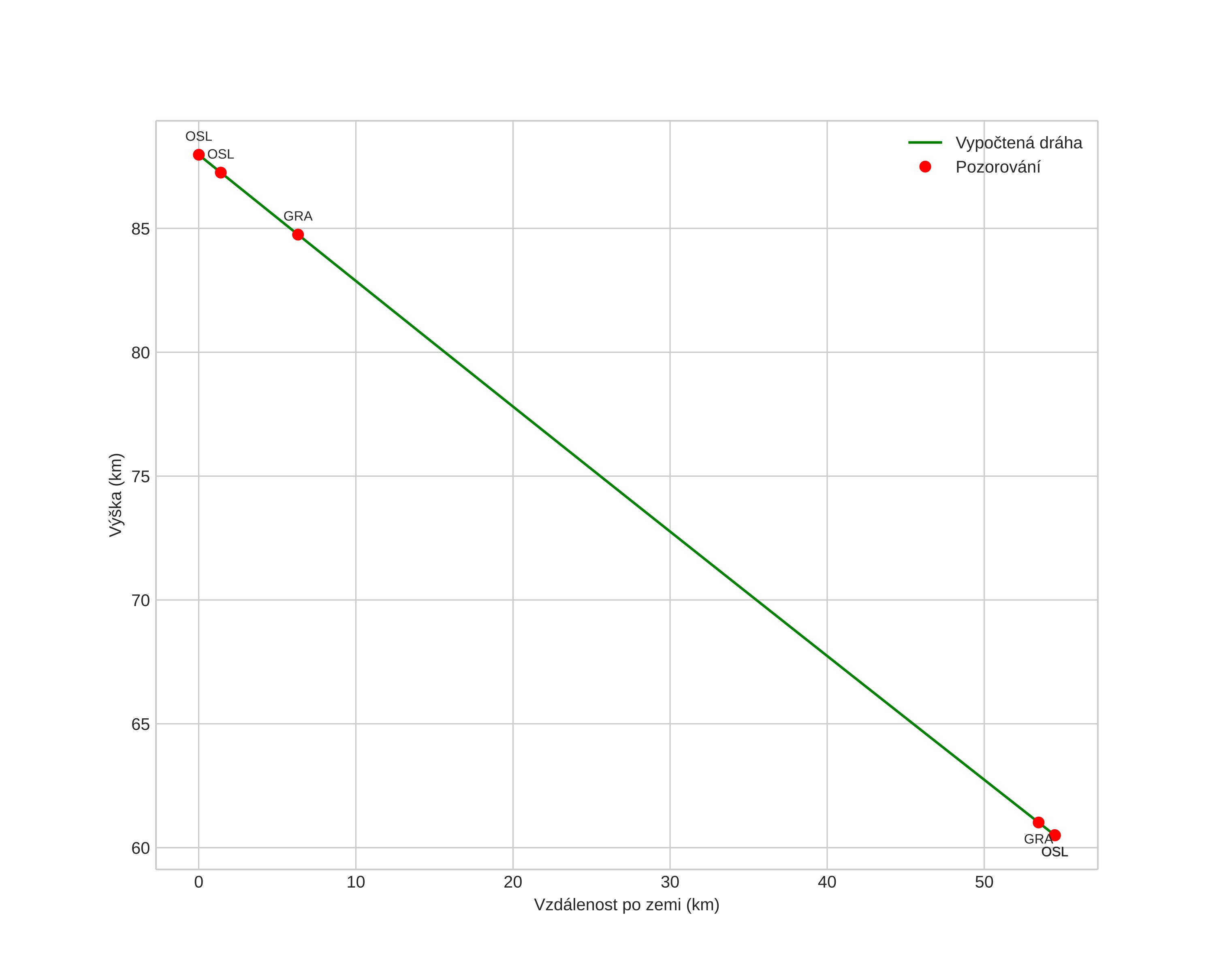
height profile
Atmosférická dráha meteoru:
Počáteční výška: 88,0 km
Konečná výška: 60,5 km
Počáteční poloha: 59,696N 11,473E
Konečná poloha: 60,125N 10,999E
Směr: 331,2°
Sklon: 26,8°
VstupnĂ­ rychlost: 21,7 km/s
Rektascenze radiantu: 13:38 (204,7°)
Deklinace radiantu: -5,5°
MeteorickĂ˝ roj: sporadickĂ˝
Elementy dráhy meteoroidu:
Vzdálenost v periheliu: 0,706 AU
Excentricita: 0,674
Sklon dráhy: 2,6°
Délka vzestupného uzlu: 33,0°
Argument perihelia: 254,8°
Střední anomálie: 346,1°
Epocha: 2016 APR 22 21:04:04
orbit plot

NeinteraktivnĂ­ graf | InteraktivnĂ­ graf

position vs time
speed and acceleration