🇳🇴 🇬🇧 🇩🇪 🇨🇿 🇫🇮

Meteor Askin yllä 2016-04-22 21:04:04 UTC

KML-tiedosto  |  Interaktiivinen kartta

Kartta näyttää meteorin suuntahavainnot. Vaaleammat viivat näyttävät suunnat havaintoasemilta meteorin ilmestyessä, ja tummemmat viivat näyttävät, missä se viimeksi nähtiin. Sininen nuoli näyttää meteorin näkyvän lennon.

static map
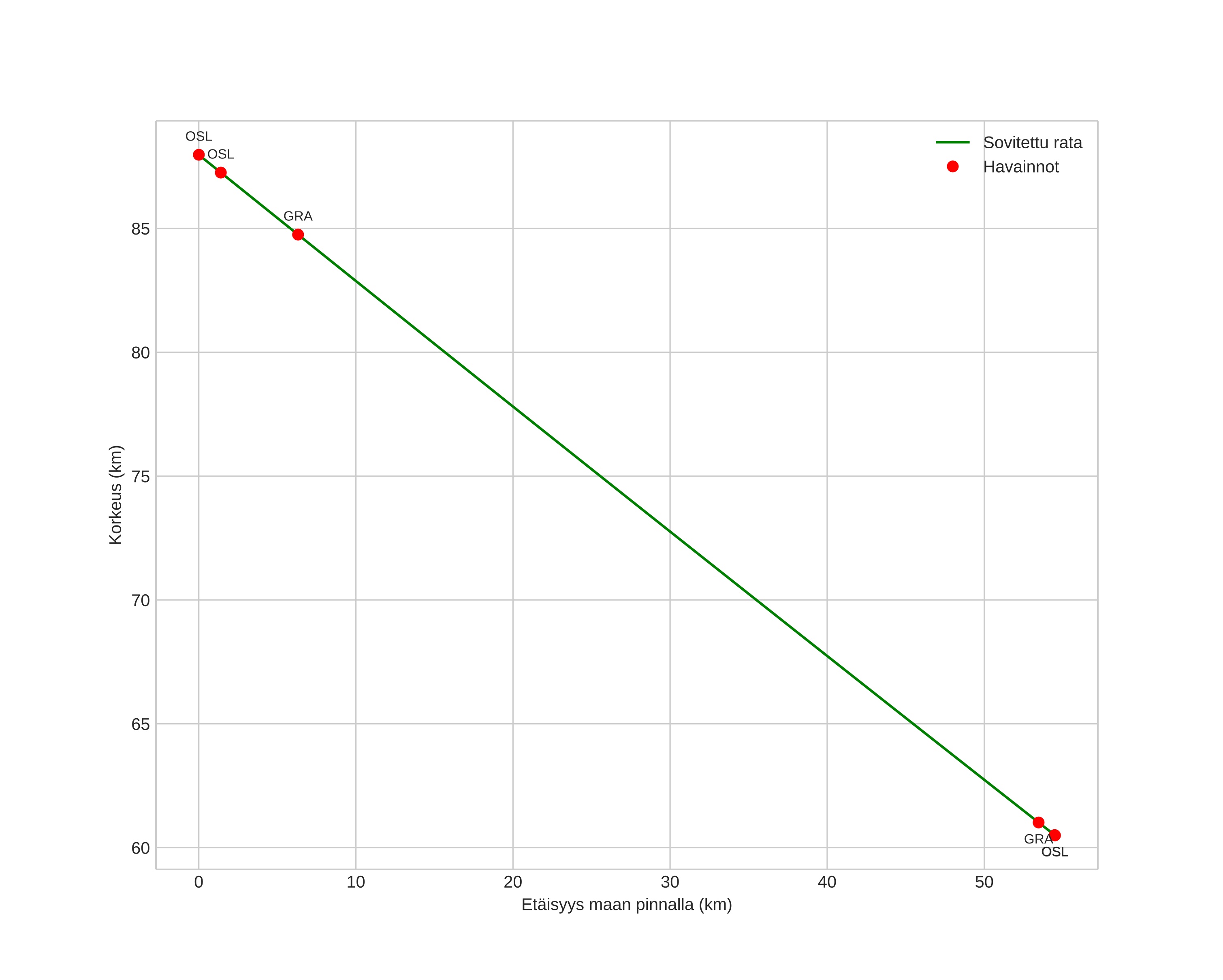
height profile
Meteorin ilmakehärata:
Alkukorkeus: 88,0 km
Loppukorkeus: 60,5 km
Alkupiste: 59,696N 11,473E
Loppupiste: 60,125N 10,999E
Suunta: 331,2°
Kallistuskulma: 26,8°
Tulonopeus: 21,7 km/s
Radiantin R,A,: 13:38 (204,7°)
Radiantin Dekl,: -5,5°
Meteoriparvi: Sporadinen
Meteoroidin rataelementit:
Perihelietäisyys: 0,706 AU
Eksentrisyys: 0,674
Inklinaatio: 2,6°
Nousevan solmun pituus: 33,0°
Perihelin argumentti: 254,8°
Keskianomalia: 346,1°
Epookki: 2016 APR 22 21:04:04
orbit plot

Ei-interaktiivinen kuvaaja | Interaktiivinen kuvaaja

position vs time
speed and acceleration