🇳🇴 🇬🇧 🇩🇪 🇨🇿 🇫🇮

Meteor, poloha: Grua 2016-04-22 23:30:31 UTC

Soubor KML  |  InteraktivnĂ­ mapa

Mapa zobrazuje dráhy meteoru. Světlejší čáry ukazují směry od pozorovacích stanic při objevení se meteoru a tmavší čáry, kde byl naposledy viděn. Modrá šipka značí viditelnou dráhu meteoru.

static map
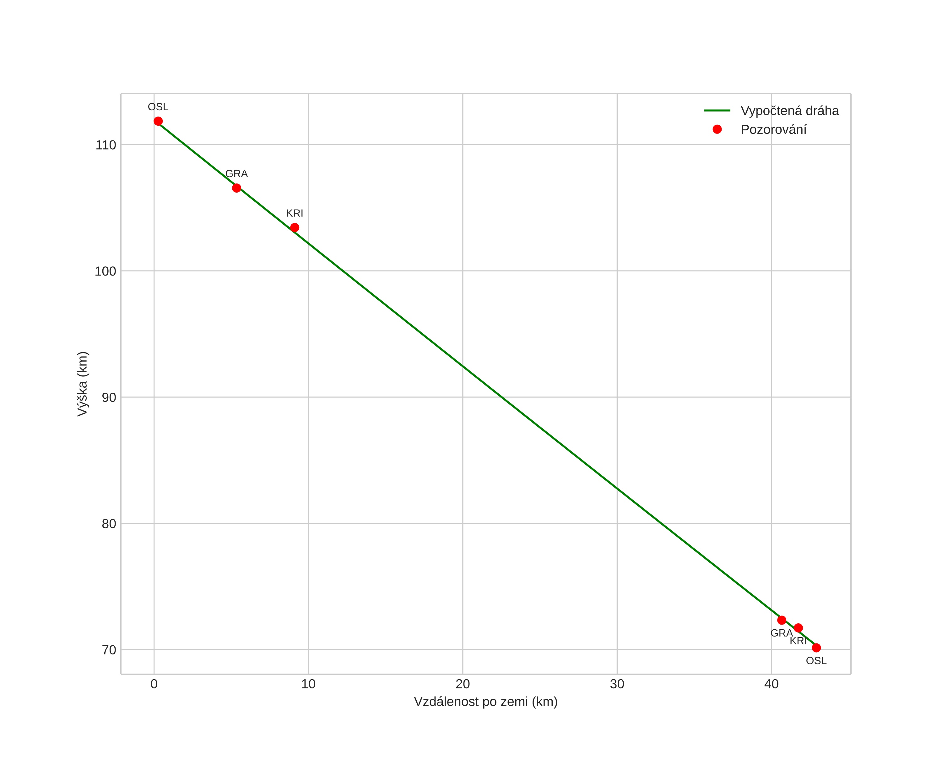
height profile
Atmosférická dráha meteoru:
Počáteční výška: 111,9 km
Konečná výška: 70,2 km
Počáteční poloha: 60,135N 11,430E
Konečná poloha: 60,194N 10,661E
Směr: 279,0°
Sklon: 44,1°
VstupnĂ­ rychlost: 49,9 km/s
Rektascenze radiantu: 18:13 (273,4°)
Deklinace radiantu: 32,7°
MeteorickĂ˝ roj: Lyridy
Elementy dráhy meteoroidu:
Vzdálenost v periheliu: 0,924 AU
Excentricita: 1,041
Sklon dráhy: 81,9°
Délka vzestupného uzlu: 33,0°
Argument perihelia: 212,7°
Střední anomálie: -0,2°
Epocha: 2016 APR 22 23:30:31
orbit plot

NeinteraktivnĂ­ graf | InteraktivnĂ­ graf

position vs time
speed and acceleration