🇳🇴 🇬🇧 🇩🇪 🇨🇿 🇫🇮

Meteor Gruan yllä 2016-04-22 23:30:31 UTC

KML-tiedosto  |  Interaktiivinen kartta

Kartta näyttää meteorin suuntahavainnot. Vaaleammat viivat näyttävät suunnat havaintoasemilta meteorin ilmestyessä, ja tummemmat viivat näyttävät, missä se viimeksi nähtiin. Sininen nuoli näyttää meteorin näkyvän lennon.

static map
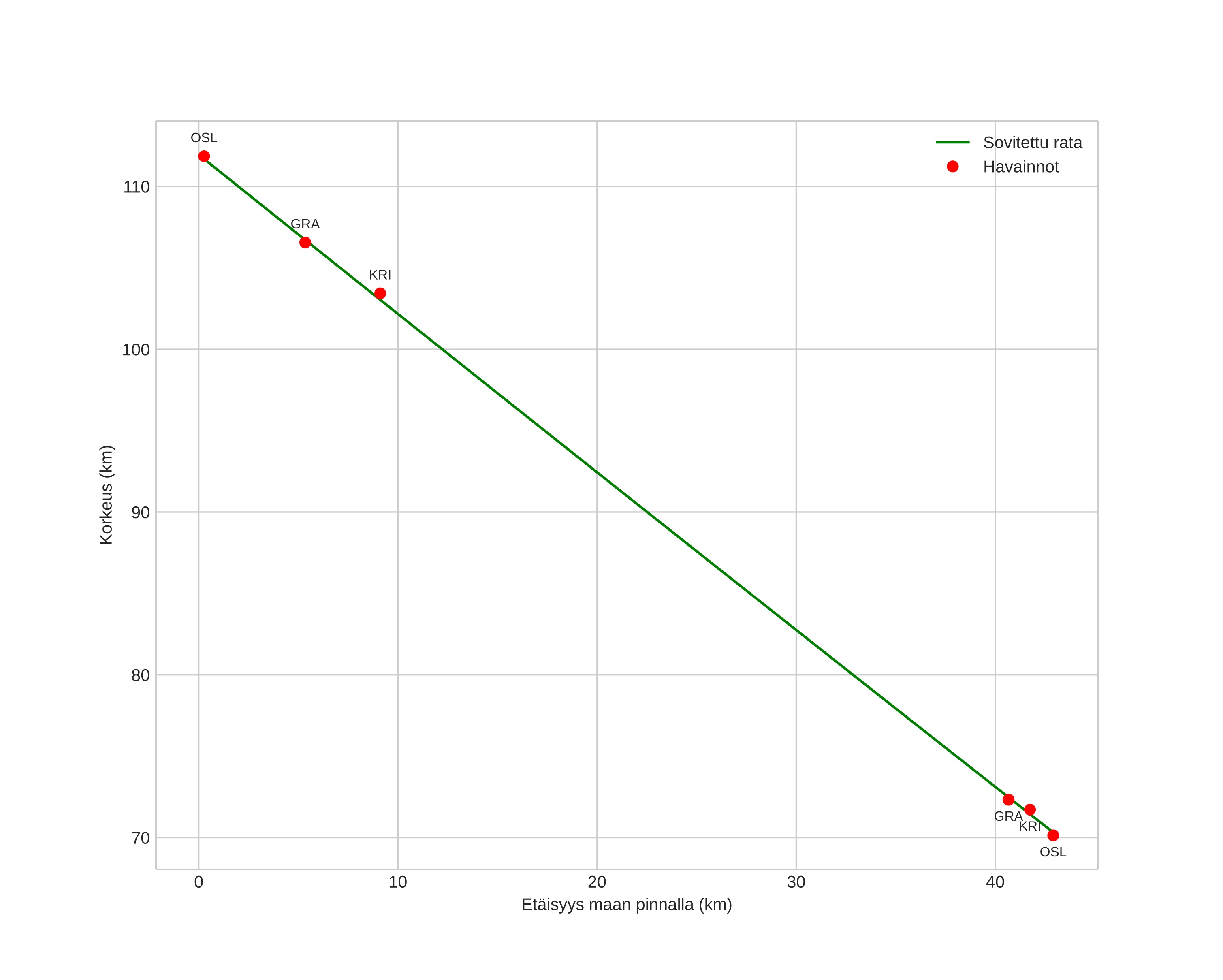
height profile
Meteorin ilmakehärata:
Alkukorkeus: 111,9 km
Loppukorkeus: 70,2 km
Alkupiste: 60,135N 11,430E
Loppupiste: 60,194N 10,661E
Suunta: 279,0°
Kallistuskulma: 44,1°
Tulonopeus: 49,9 km/s
Radiantin R,A,: 18:13 (273,4°)
Radiantin Dekl,: 32,7°
Meteoriparvi: Lyridit
Meteoroidin rataelementit:
Perihelietäisyys: 0,924 AU
Eksentrisyys: 1,041
Inklinaatio: 81,9°
Nousevan solmun pituus: 33,0°
Perihelin argumentti: 212,7°
Keskianomalia: -0,2°
Epookki: 2016 APR 22 23:30:31
orbit plot

Ei-interaktiivinen kuvaaja | Interaktiivinen kuvaaja

position vs time
speed and acceleration