🇳🇴 🇬🇧 🇩🇪 🇨🇿 🇫🇮

Meteor, poloha: SkĂĄlevik 2016-04-23 00:13:40 UTC

Soubor KML  |  InteraktivnĂ­ mapa

Mapa zobrazuje dráhy meteoru. Světlejší čáry ukazují směry od pozorovacích stanic při objevení se meteoru a tmavší čáry, kde byl naposledy viděn. Modrá šipka značí viditelnou dráhu meteoru.

static map
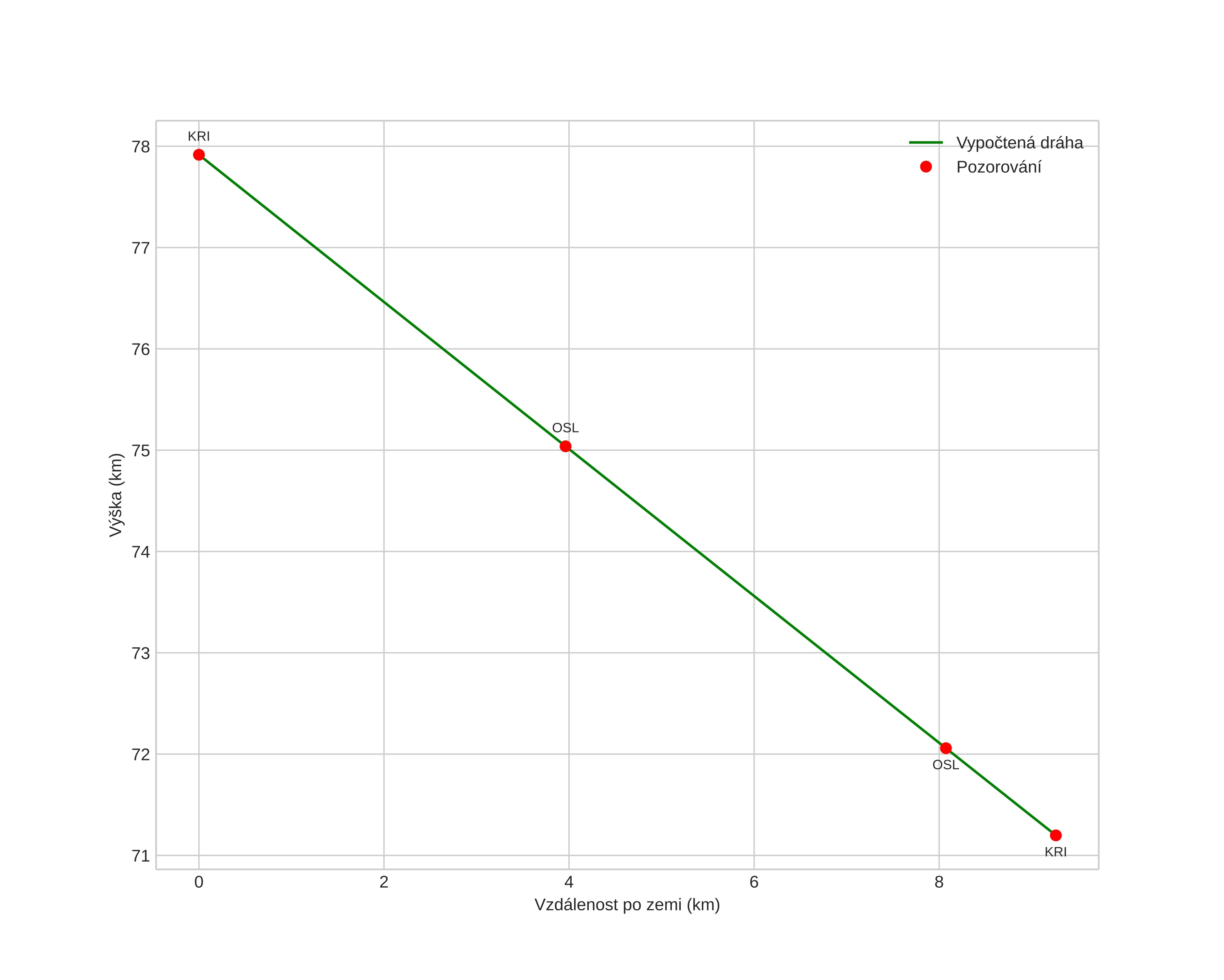
height profile
Atmosférická dráha meteoru:
Počáteční výška: 77,9 km
Konečná výška: 71,2 km
Počáteční poloha: 58,000N 8,060E
Konečná poloha: 57,917N 8,065E
Směr: 178,2°
Sklon: 35,9°
VstupnĂ­ rychlost: 17,9 km/s
Rektascenze radiantu: 03:10 (47,6°)
Deklinace radiantu: 60,6°
MeteorickĂ˝ roj: sporadickĂ˝
Elementy dráhy meteoroidu:
Vzdálenost v periheliu: 0,920 AU
Excentricita: 0,624
Sklon dráhy: 14,7°
Délka vzestupného uzlu: 33,1°
Argument perihelia: 141,2°
Střední anomálie: 7,4°
Epocha: 2016 APR 23 00:13:40
orbit plot

NeinteraktivnĂ­ graf | InteraktivnĂ­ graf

position vs time
speed and acceleration