🇳🇴 🇬🇧 🇩🇪 🇨🇿 🇫🇮

Meteor Skålevikin yllä 2016-04-23 00:13:40 UTC

KML-tiedosto  |  Interaktiivinen kartta

Kartta näyttää meteorin suuntahavainnot. Vaaleammat viivat näyttävät suunnat havaintoasemilta meteorin ilmestyessä, ja tummemmat viivat näyttävät, missä se viimeksi nähtiin. Sininen nuoli näyttää meteorin näkyvän lennon.

static map
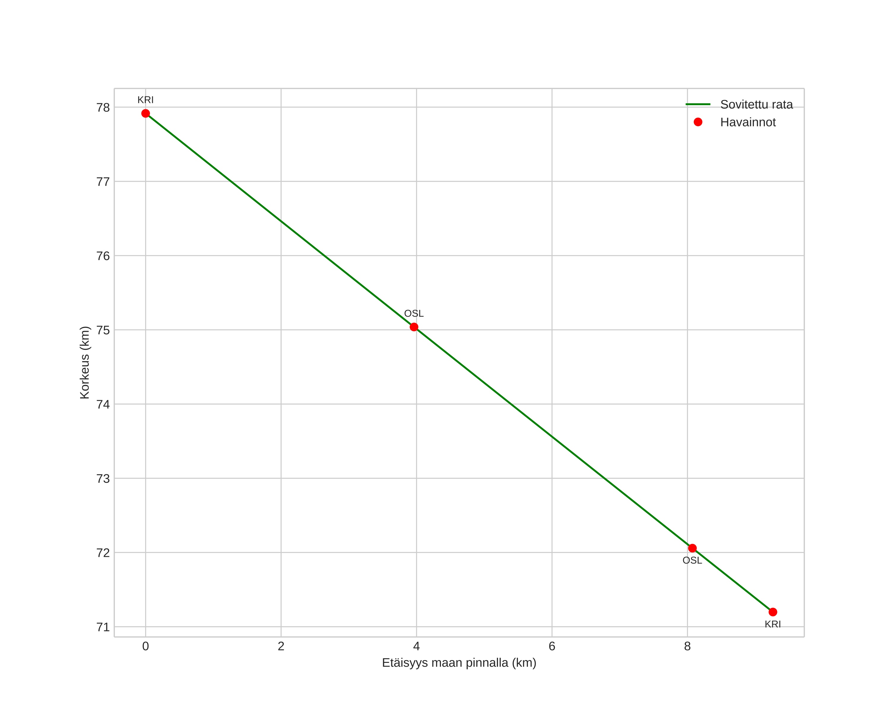
height profile
Meteorin ilmakehärata:
Alkukorkeus: 77,9 km
Loppukorkeus: 71,2 km
Alkupiste: 58,000N 8,060E
Loppupiste: 57,917N 8,065E
Suunta: 178,2°
Kallistuskulma: 35,9°
Tulonopeus: 17,9 km/s
Radiantin R,A,: 03:10 (47,6°)
Radiantin Dekl,: 60,6°
Meteoriparvi: Sporadinen
Meteoroidin rataelementit:
Perihelietäisyys: 0,920 AU
Eksentrisyys: 0,624
Inklinaatio: 14,7°
Nousevan solmun pituus: 33,1°
Perihelin argumentti: 141,2°
Keskianomalia: 7,4°
Epookki: 2016 APR 23 00:13:40
orbit plot

Ei-interaktiivinen kuvaaja | Interaktiivinen kuvaaja

position vs time
speed and acceleration