🇳🇴 🇬🇧 🇩🇪 🇨🇿 🇫🇮

Meteor, poloha: Nordstranda 2016-04-25 22:13:07 UTC

Soubor KML  |  InteraktivnĂ­ mapa

Mapa zobrazuje dráhy meteoru. Světlejší čáry ukazují směry od pozorovacích stanic při objevení se meteoru a tmavší čáry, kde byl naposledy viděn. Modrá šipka značí viditelnou dráhu meteoru.

static map
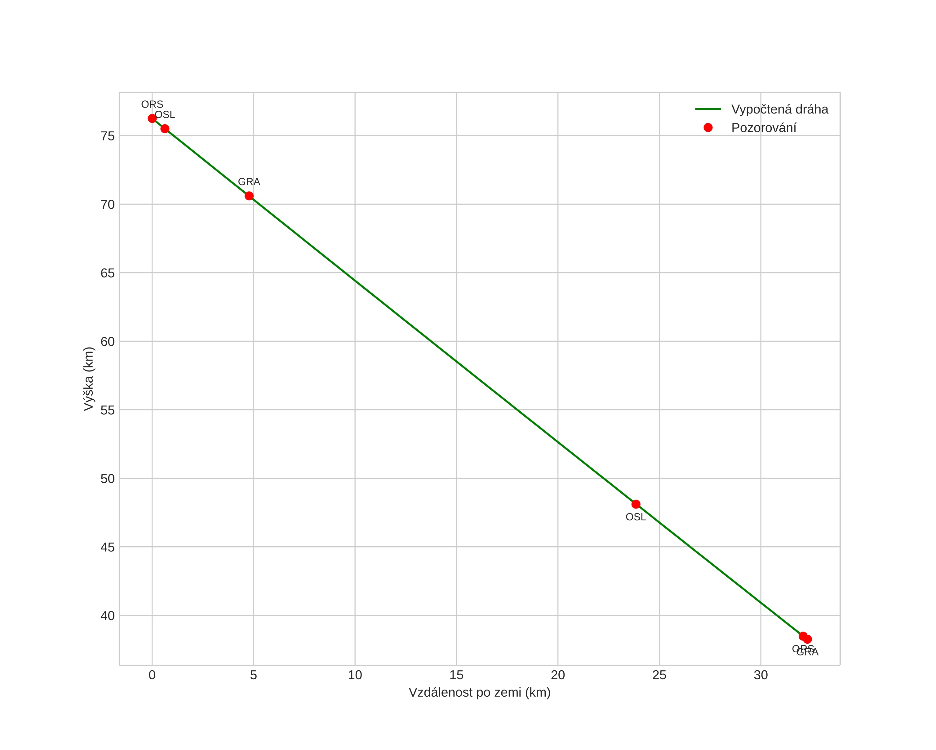
height profile
Atmosférická dráha meteoru:
Počáteční výška: 76,3 km
Konečná výška: 38,3 km
Počáteční poloha: 62,771N 6,198E
Konečná poloha: 63,010N 5,836E
Směr: 325,5°
Sklon: 49,6°
VstupnĂ­ rychlost: 19,8 km/s
Rektascenze radiantu: 14:32 (218,1°)
Deklinace radiantu: 22,0°
MeteorickĂ˝ roj: sporadickĂ˝
Elementy dráhy meteoroidu:
Vzdálenost v periheliu: 0,809 AU
Excentricita: 0,530
Sklon dráhy: 16,4°
Délka vzestupného uzlu: 35,9°
Argument perihelia: 244,2°
Střední anomálie: 340,5°
Epocha: 2016 APR 25 22:13:07
orbit plot

NeinteraktivnĂ­ graf | InteraktivnĂ­ graf

position vs time
speed and acceleration