🇳🇴 🇬🇧 🇩🇪 🇨🇿 🇫🇮

Meteor Nordstrandan yllä 2016-04-25 22:13:07 UTC

KML-tiedosto  |  Interaktiivinen kartta

Kartta näyttää meteorin suuntahavainnot. Vaaleammat viivat näyttävät suunnat havaintoasemilta meteorin ilmestyessä, ja tummemmat viivat näyttävät, missä se viimeksi nähtiin. Sininen nuoli näyttää meteorin näkyvän lennon.

static map
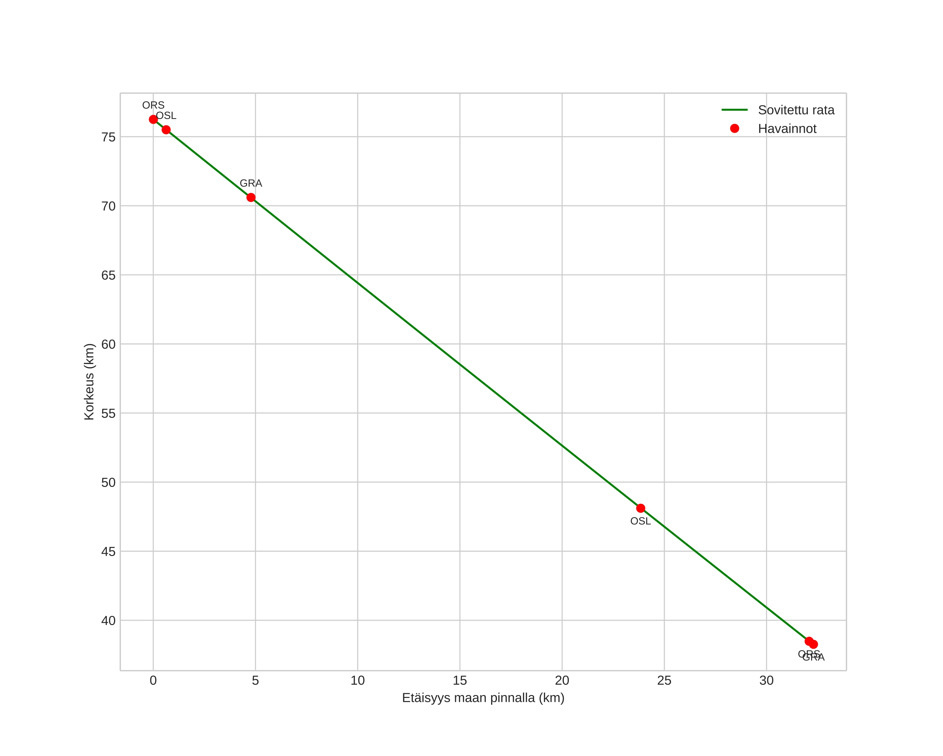
height profile
Meteorin ilmakehärata:
Alkukorkeus: 76,3 km
Loppukorkeus: 38,3 km
Alkupiste: 62,771N 6,198E
Loppupiste: 63,010N 5,836E
Suunta: 325,5°
Kallistuskulma: 49,6°
Tulonopeus: 19,8 km/s
Radiantin R,A,: 14:32 (218,1°)
Radiantin Dekl,: 22,0°
Meteoriparvi: Sporadinen
Meteoroidin rataelementit:
Perihelietäisyys: 0,809 AU
Eksentrisyys: 0,530
Inklinaatio: 16,4°
Nousevan solmun pituus: 35,9°
Perihelin argumentti: 244,2°
Keskianomalia: 340,5°
Epookki: 2016 APR 25 22:13:07
orbit plot

Ei-interaktiivinen kuvaaja | Interaktiivinen kuvaaja

position vs time
speed and acceleration