🇳🇴 🇬🇧 🇩🇪 🇨🇿 🇫🇮

Meteor, poloha: Rollag 2016-04-26 23:36:41 UTC

Soubor KML  |  InteraktivnĂ­ mapa

Mapa zobrazuje dráhy meteoru. Světlejší čáry ukazují směry od pozorovacích stanic při objevení se meteoru a tmavší čáry, kde byl naposledy viděn. Modrá šipka značí viditelnou dráhu meteoru.

static map
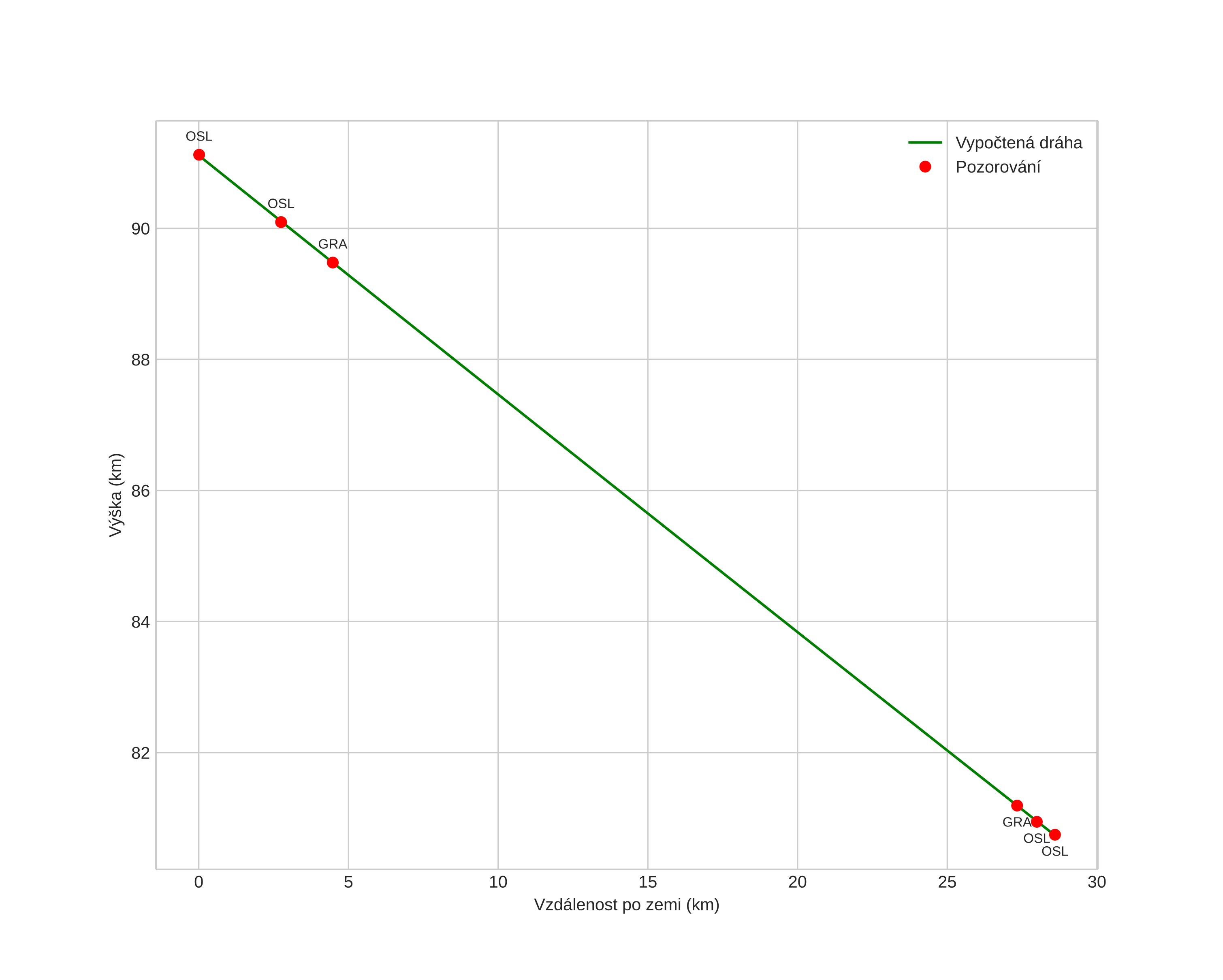
height profile
Atmosférická dráha meteoru:
Počáteční výška: 91,1 km
Konečná výška: 80,7 km
Počáteční poloha: 59,588N 9,531E
Konečná poloha: 59,830N 9,358E
Směr: 340,2°
Sklon: 20,0°
VstupnĂ­ rychlost: 33,7 km/s
Rektascenze radiantu: 15:50 (237,6°)
Deklinace radiantu: -11,1°
MeteorickĂ˝ roj: sporadickĂ˝
Elementy dráhy meteoroidu:
Vzdálenost v periheliu: 0,223 AU
Excentricita: 0,858
Sklon dráhy: 14,9°
Délka vzestupného uzlu: 36,9°
Argument perihelia: 313,4°
Střední anomálie: 339,3°
Epocha: 2016 APR 26 23:36:41
orbit plot

NeinteraktivnĂ­ graf | InteraktivnĂ­ graf

position vs time
speed and acceleration