🇳🇴 🇬🇧 🇩🇪 🇨🇿 🇫🇮

Meteor Rollagin yllä 2016-04-26 23:36:41 UTC

KML-tiedosto  |  Interaktiivinen kartta

Kartta näyttää meteorin suuntahavainnot. Vaaleammat viivat näyttävät suunnat havaintoasemilta meteorin ilmestyessä, ja tummemmat viivat näyttävät, missä se viimeksi nähtiin. Sininen nuoli näyttää meteorin näkyvän lennon.

static map
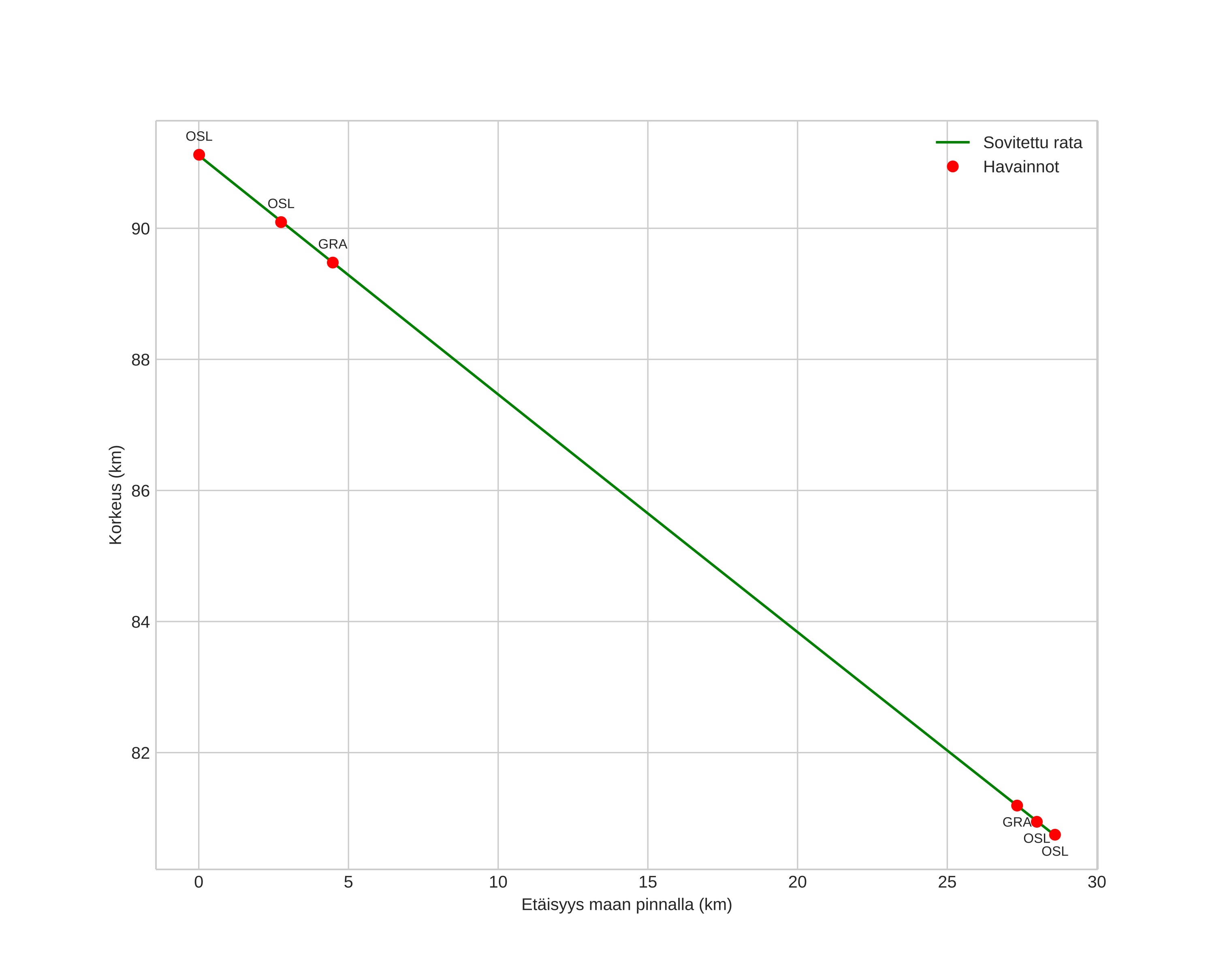
height profile
Meteorin ilmakehärata:
Alkukorkeus: 91,1 km
Loppukorkeus: 80,7 km
Alkupiste: 59,588N 9,531E
Loppupiste: 59,830N 9,358E
Suunta: 340,2°
Kallistuskulma: 20,0°
Tulonopeus: 33,7 km/s
Radiantin R,A,: 15:50 (237,6°)
Radiantin Dekl,: -11,1°
Meteoriparvi: Sporadinen
Meteoroidin rataelementit:
Perihelietäisyys: 0,223 AU
Eksentrisyys: 0,858
Inklinaatio: 14,9°
Nousevan solmun pituus: 36,9°
Perihelin argumentti: 313,4°
Keskianomalia: 339,3°
Epookki: 2016 APR 26 23:36:41
orbit plot

Ei-interaktiivinen kuvaaja | Interaktiivinen kuvaaja

position vs time
speed and acceleration