🇳🇴 🇬🇧 🇩🇪 🇨🇿 🇫🇮

Meteor, poloha: Tretten 2016-05-14 21:33:25 UTC

Soubor KML  |  InteraktivnĂ­ mapa

Mapa zobrazuje dráhy meteoru. Světlejší čáry ukazují směry od pozorovacích stanic při objevení se meteoru a tmavší čáry, kde byl naposledy viděn. Modrá šipka značí viditelnou dráhu meteoru.

static map
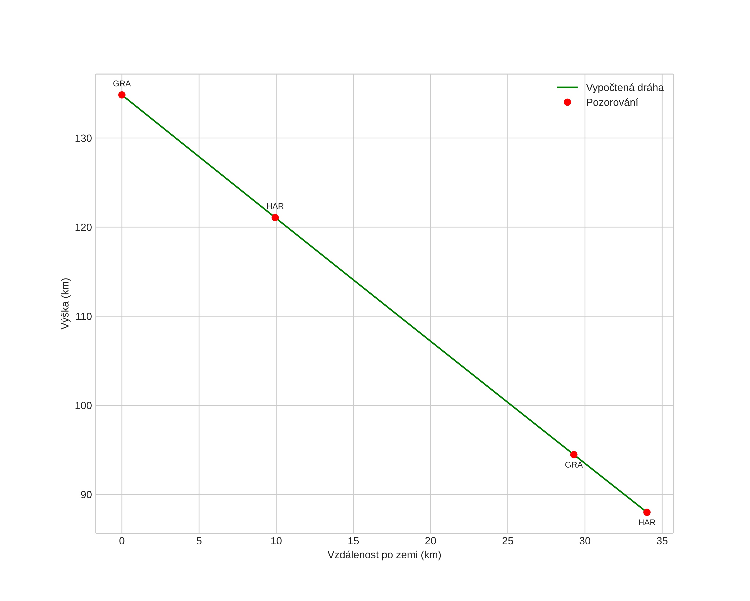
height profile
Atmosférická dráha meteoru:
Počáteční výška: 134,8 km
Konečná výška: 88,0 km
Počáteční poloha: 61,919N 10,868E
Konečná poloha: 61,647N 10,572E
Směr: 207,3°
Sklon: 54,0°
VstupnĂ­ rychlost: 68,6 km/s
Rektascenze radiantu: 20:57 (314,3°)
Deklinace radiantu: 73,6°
MeteorickĂ˝ roj: sporadickĂ˝
Elementy dráhy meteoroidu:
Vzdálenost v periheliu: 0,969 AU
Excentricita: 4,852
Sklon dráhy: 67,9°
Délka vzestupného uzlu: 54,3°
Argument perihelia: 161,8°
Střední anomálie: 58,4°
Epocha: 2016 MAY 14 21:33:25
orbit plot

NeinteraktivnĂ­ graf | InteraktivnĂ­ graf

position vs time
speed and acceleration