🇳🇴 🇬🇧 🇩🇪 🇨🇿 🇫🇮

Meteor über Tretten 2016-05-14 21:33:25 UTC

KML-Datei  |  Interaktive Karte

Die Karte zeigt die Peilungen für den Meteor. Die helleren Linien zeigen die Richtungen von den Beobachtungsorten beim Erscheinen des Meteors, und die dunkleren Linien, wo er zuletzt gesehen wurde. Der blaue Pfeil zeigt die sichtbare Bahn des Meteors.

static map
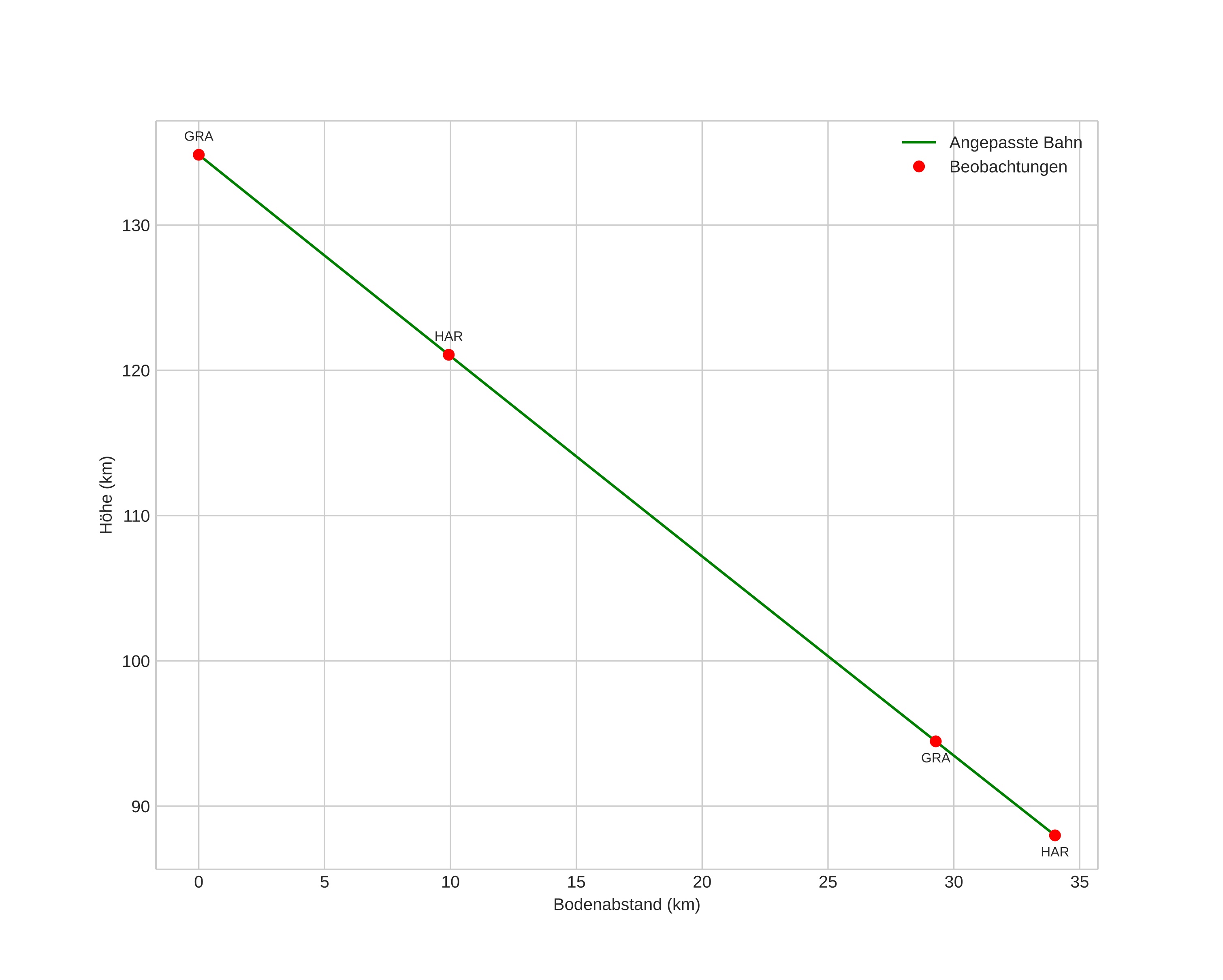
height profile
Atmosphärische Bahn des Meteors:
Anfangshöhe: 134,8 km
Endhöhe: 88,0 km
Startposition: 61,919N 10,868E
Endposition: 61,647N 10,572E
Richtung: 207,3°
Neigungswinkel: 54,0°
Eintrittsgeschwindigkeit: 68,6 km/s
Rektaszension des Radianten: 20:57 (314,3°)
Deklination des Radianten: 73,6°
Meteorstrom: sporadisch
Bahnelemente des Meteoroiden:
Periheldistanz: 0,969 AU
Exzentrizität: 4,852
Inklination: 67,9°
Länge des aufsteigenden Knotens: 54,3°
Argument des Perihels: 161,8°
Mittlere Anomalie: 58,4°
Epoche: 2016 MAY 14 21:33:25
orbit plot

Nicht-interaktives Diagramm | Interaktives Diagramm

position vs time
speed and acceleration

Gran (GRA) cam2


gnomonic
Videos
• Gnomonisch
• Gnomonisch mit Koordinaten
• Original
• Original mit Koordinaten
Bilder
• Gnomonisch
• Gnomonisch mit Koordinaten
• Gnomonisch mit Beschriftungen
• Original
• Original mit Koordinaten
• Original mit Maske
Textdateien
• Erkennung
• Beobachtung
• Koordinaten
• Fehlermeldungen
• Protokoll
Helligkeit

Solobservatoriet (HAR) cam2


gnomonic
Videos
• Gnomonisch
• Gnomonisch mit Koordinaten
• Original
• Original mit Koordinaten
Bilder
• Gnomonisch
• Gnomonisch mit Koordinaten
• Gnomonisch mit Beschriftungen
• Original
• Original mit Koordinaten
• Original mit Maske
Textdateien
• Erkennung
• Beobachtung
• Koordinaten
• Fehlermeldungen
• Protokoll
Helligkeit