🇳🇴 🇬🇧 🇩🇪 🇨🇿 🇫🇮

Meteor, poloha: Kviteseid 2016-08-08 21:52:36 UTC

Soubor KML  |  InteraktivnĂ­ mapa

Mapa zobrazuje dráhy meteoru. Světlejší čáry ukazují směry od pozorovacích stanic při objevení se meteoru a tmavší čáry, kde byl naposledy viděn. Modrá šipka značí viditelnou dráhu meteoru.

static map
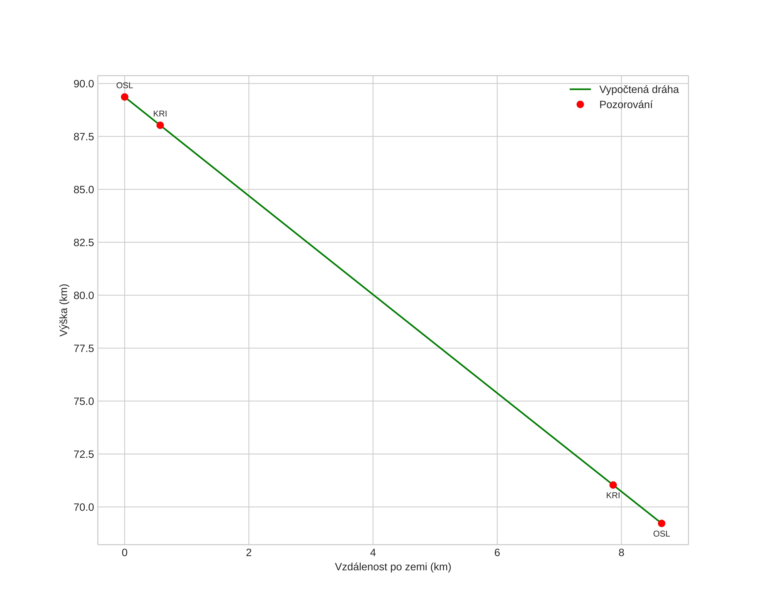
height profile
Atmosférická dráha meteoru:
Počáteční výška: 89,4 km
Konečná výška: 69,2 km
Počáteční poloha: 59,227N 8,447E
Konečná poloha: 59,283N 8,553E
Směr: 43,9°
Sklon: 66,8°
VstupnĂ­ rychlost: 21,1 km/s
Rektascenze radiantu: 18:05 (271,4°)
Deklinace radiantu: 38,1°
MeteorickĂ˝ roj: sporadickĂ˝
Elementy dráhy meteoroidu:
Vzdálenost v periheliu: 0,983 AU
Excentricita: 0,769
Sklon dráhy: 24,1°
Délka vzestupného uzlu: 136,5°
Argument perihelia: 201,7°
Střední anomálie: 358,2°
Epocha: 2016 AUG 08 21:52:36
orbit plot

NeinteraktivnĂ­ graf | InteraktivnĂ­ graf

position vs time
speed and acceleration