🇳🇴 🇬🇧 🇩🇪 🇨🇿 🇫🇮

Meteor Kviteseidin yllä 2016-08-08 21:52:36 UTC

KML-tiedosto  |  Interaktiivinen kartta

Kartta näyttää meteorin suuntahavainnot. Vaaleammat viivat näyttävät suunnat havaintoasemilta meteorin ilmestyessä, ja tummemmat viivat näyttävät, missä se viimeksi nähtiin. Sininen nuoli näyttää meteorin näkyvän lennon.

static map
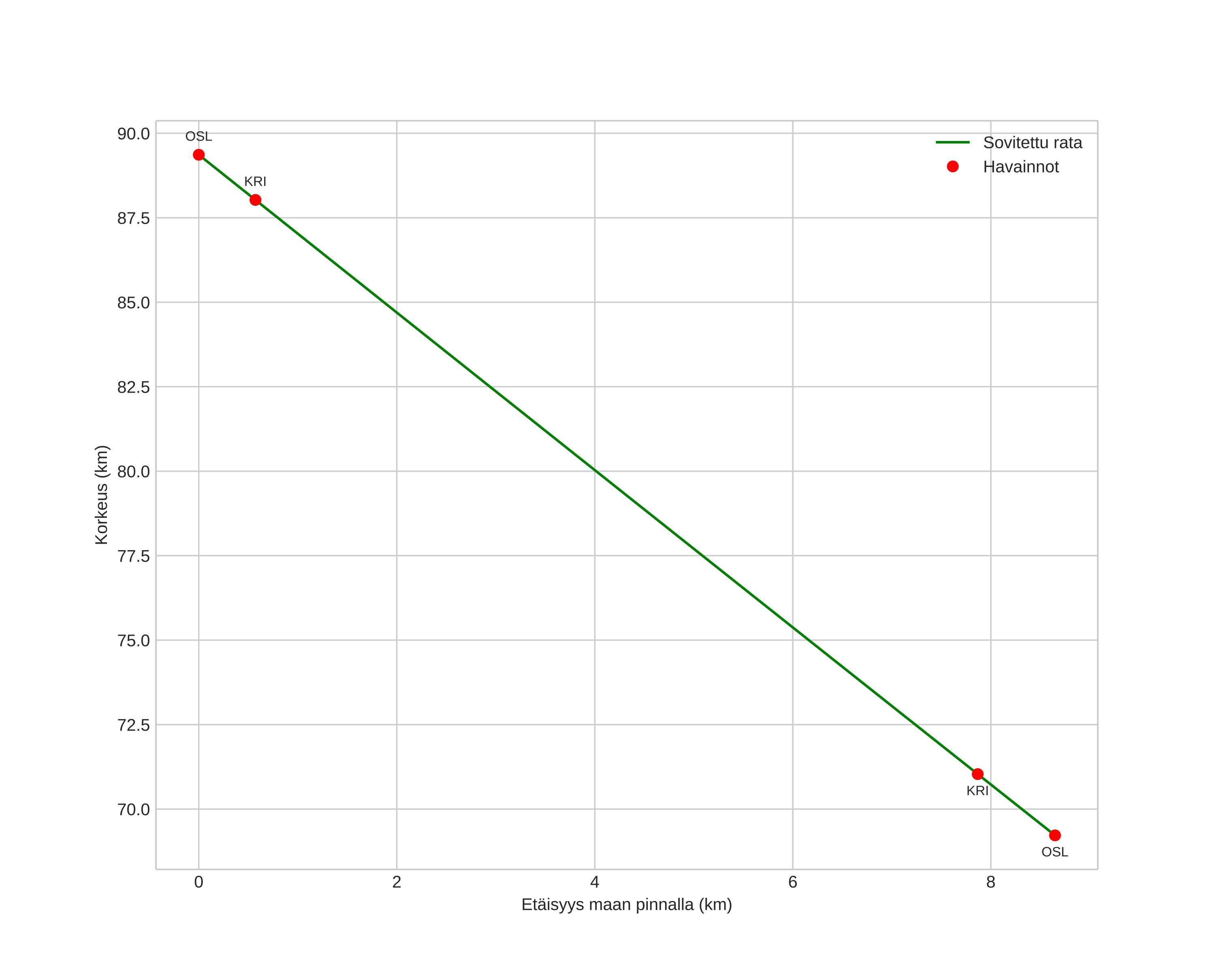
height profile
Meteorin ilmakehärata:
Alkukorkeus: 89,4 km
Loppukorkeus: 69,2 km
Alkupiste: 59,227N 8,447E
Loppupiste: 59,283N 8,553E
Suunta: 43,9°
Kallistuskulma: 66,8°
Tulonopeus: 21,1 km/s
Radiantin R,A,: 18:05 (271,4°)
Radiantin Dekl,: 38,1°
Meteoriparvi: Sporadinen
Meteoroidin rataelementit:
Perihelietäisyys: 0,983 AU
Eksentrisyys: 0,769
Inklinaatio: 24,1°
Nousevan solmun pituus: 136,5°
Perihelin argumentti: 201,7°
Keskianomalia: 358,2°
Epookki: 2016 AUG 08 21:52:36
orbit plot

Ei-interaktiivinen kuvaaja | Interaktiivinen kuvaaja

position vs time
speed and acceleration