🇳🇴 🇬🇧 🇩🇪 🇨🇿 🇫🇮

Meteor, poloha: Voss 2016-08-10 21:59:12 UTC

Soubor KML  |  InteraktivnĂ­ mapa

Mapa zobrazuje dráhy meteoru. Světlejší čáry ukazují směry od pozorovacích stanic při objevení se meteoru a tmavší čáry, kde byl naposledy viděn. Modrá šipka značí viditelnou dráhu meteoru.

static map
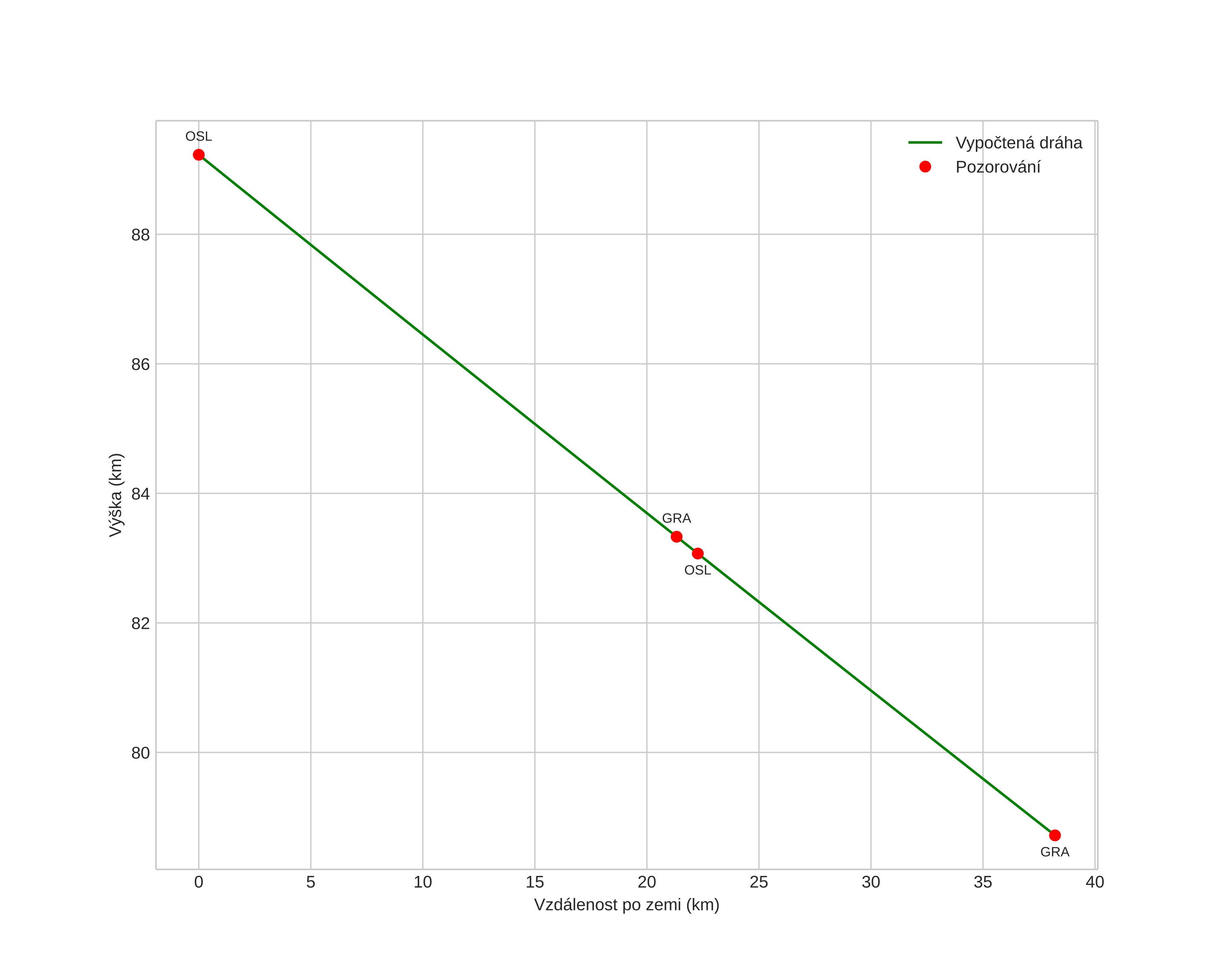
height profile
Atmosférická dráha meteoru:
Počáteční výška: 89,2 km
Konečná výška: 78,7 km
Počáteční poloha: 60,653N 6,736E
Konečná poloha: 60,850N 6,161E
Směr: 305,4°
Sklon: 15,4°
VstupnĂ­ rychlost: 28,4 km/s
Rektascenze radiantu: 23:16 (349,1°)
Deklinace radiantu: -5,9°
MeteorickĂ˝ roj: sporadickĂ˝
Elementy dráhy meteoroidu:
Vzdálenost v periheliu: 0,179 AU
Excentricita: 0,809
Sklon dráhy: 1,8°
Délka vzestupného uzlu: 318,4°
Argument perihelia: 147,3°
Střední anomálie: 310,5°
Epocha: 2016 AUG 10 21:59:12
orbit plot

NeinteraktivnĂ­ graf | InteraktivnĂ­ graf

position vs time
speed and acceleration