🇳🇴 🇬🇧 🇩🇪 🇨🇿 🇫🇮

Meteor über Voss 2016-08-10 21:59:12 UTC

KML-Datei  |  Interaktive Karte

Die Karte zeigt die Peilungen für den Meteor. Die helleren Linien zeigen die Richtungen von den Beobachtungsorten beim Erscheinen des Meteors, und die dunkleren Linien, wo er zuletzt gesehen wurde. Der blaue Pfeil zeigt die sichtbare Bahn des Meteors.

static map
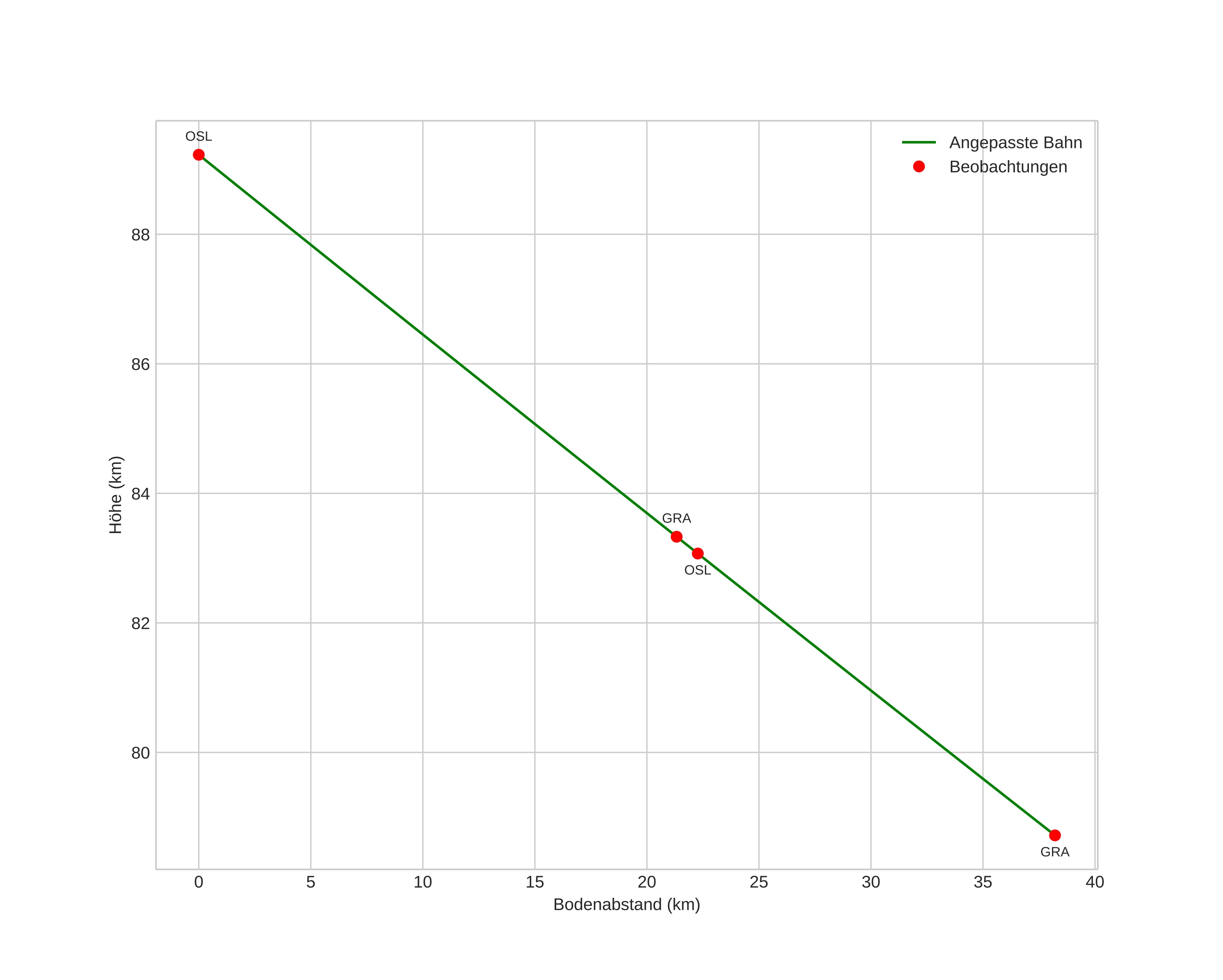
height profile
Atmosphärische Bahn des Meteors:
Anfangshöhe: 89,2 km
Endhöhe: 78,7 km
Startposition: 60,653N 6,736E
Endposition: 60,850N 6,161E
Richtung: 305,4°
Neigungswinkel: 15,4°
Eintrittsgeschwindigkeit: 28,4 km/s
Rektaszension des Radianten: 23:16 (349,1°)
Deklination des Radianten: -5,9°
Meteorstrom: sporadisch
Bahnelemente des Meteoroiden:
Periheldistanz: 0,179 AU
Exzentrizität: 0,809
Inklination: 1,8°
Länge des aufsteigenden Knotens: 318,4°
Argument des Perihels: 147,3°
Mittlere Anomalie: 310,5°
Epoche: 2016 AUG 10 21:59:12
orbit plot

Nicht-interaktives Diagramm | Interaktives Diagramm

position vs time
speed and acceleration

Voksenlia (OSL) cam2


gnomonic
Videos
• Gnomonisch
• Gnomonisch mit Koordinaten
• Original
Bilder
• Gnomonisch
• Gnomonisch mit Koordinaten
• Unkorrigiert gnomonisch mit Koordinaten
• Gnomonisch mit Beschriftungen
• Unkorrigiert gnomonisch mit Beschriftungen
• Original
• Original mit Maske
Textdateien
• Erkennung
• Beobachtung
• Koordinaten
• Fehlermeldungen
• Protokoll
Helligkeit