🇳🇴 🇬🇧 🇩🇪 🇨🇿 🇫🇮

Meteor, poloha: Lærdalsøyri 2016-08-11 21:36:10 UTC

Soubor KML  |  InteraktivnĂ­ mapa

Mapa zobrazuje dráhy meteoru. Světlejší čáry ukazují směry od pozorovacích stanic při objevení se meteoru a tmavší čáry, kde byl naposledy viděn. Modrá šipka značí viditelnou dráhu meteoru.

static map
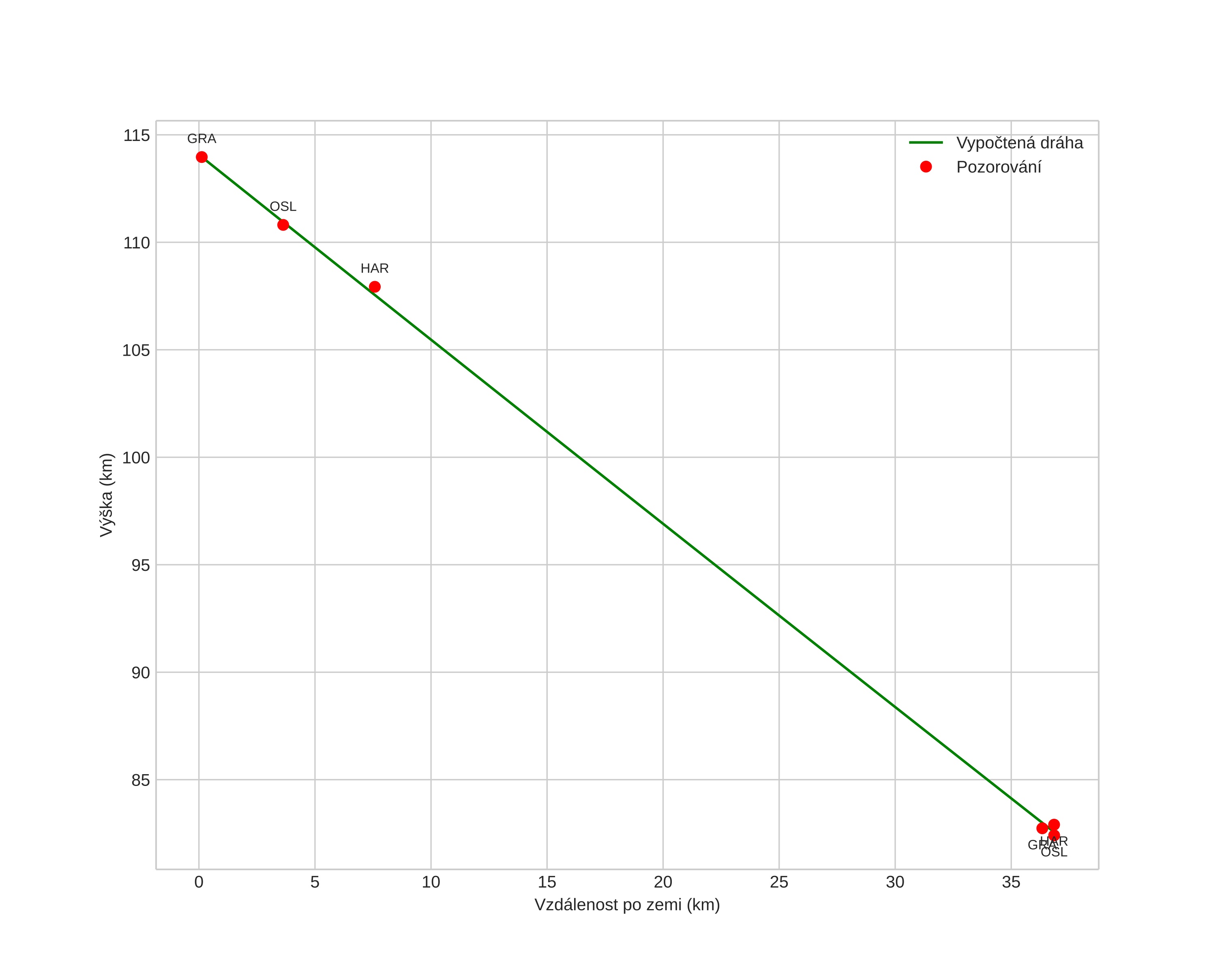
height profile
Atmosférická dráha meteoru:
Počáteční výška: 114,1 km
Konečná výška: 82,5 km
Počáteční poloha: 61,194N 8,127E
Konečná poloha: 60,938N 7,689E
Směr: 219,8°
Sklon: 40,6°
VstupnĂ­ rychlost: 62,2 km/s
Rektascenze radiantu: 03:01 (45,3°)
Deklinace radiantu: 58,1°
MeteorickĂ˝ roj: Perseidy
Elementy dráhy meteoroidu:
Vzdálenost v periheliu: 0,966 AU
Excentricita: 1,122
Sklon dráhy: 113,9°
Délka vzestupného uzlu: 139,4°
Argument perihelia: 155,8°
Střední anomálie: 0,7°
Epocha: 2016 AUG 11 21:36:10
orbit plot

NeinteraktivnĂ­ graf | InteraktivnĂ­ graf

position vs time
speed and acceleration