🇳🇴 🇬🇧 🇩🇪 🇨🇿 🇫🇮

Meteor Lærdalsøyrin yllä 2016-08-11 21:36:10 UTC

KML-tiedosto  |  Interaktiivinen kartta

Kartta näyttää meteorin suuntahavainnot. Vaaleammat viivat näyttävät suunnat havaintoasemilta meteorin ilmestyessä, ja tummemmat viivat näyttävät, missä se viimeksi nähtiin. Sininen nuoli näyttää meteorin näkyvän lennon.

static map
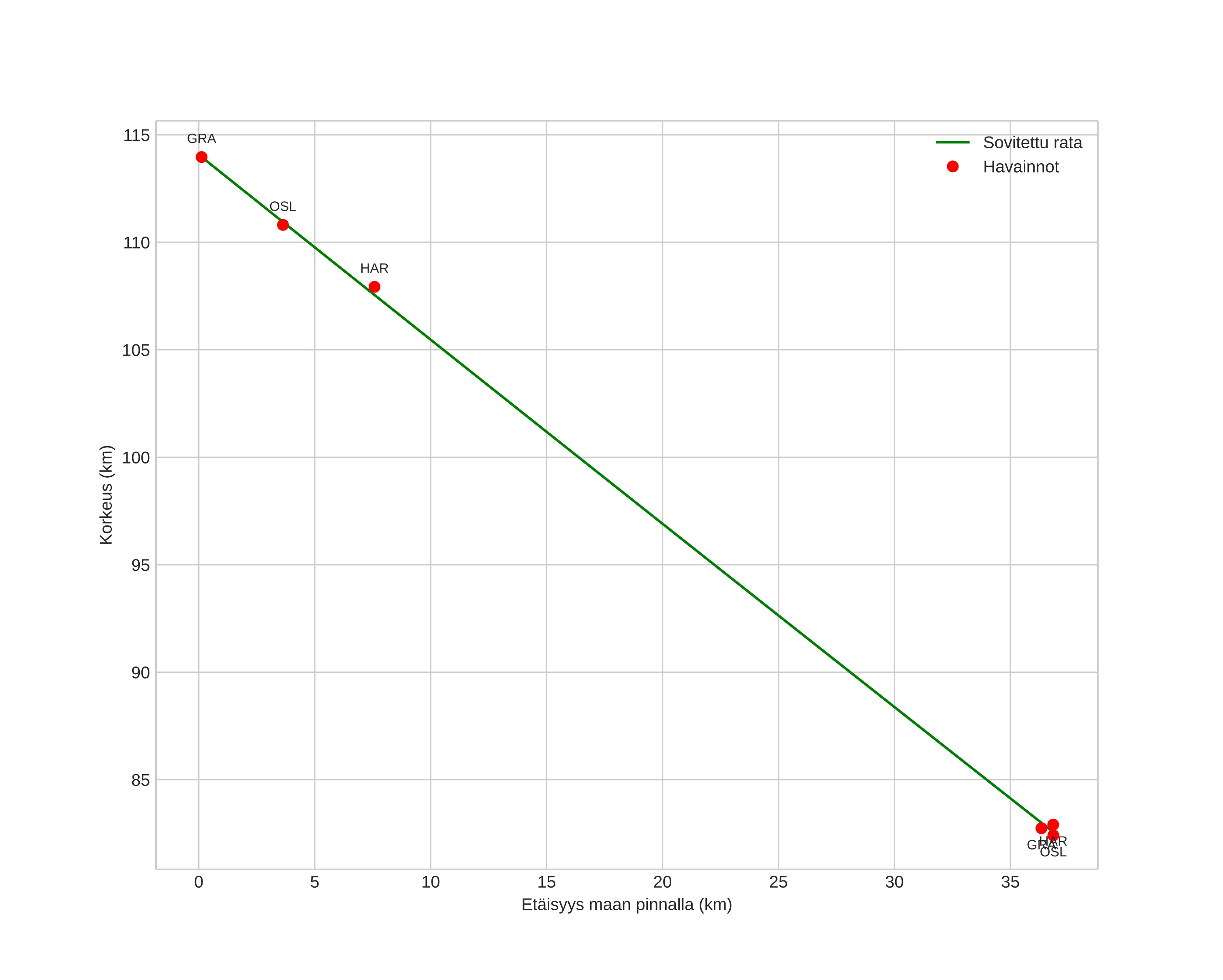
height profile
Meteorin ilmakehärata:
Alkukorkeus: 114,1 km
Loppukorkeus: 82,5 km
Alkupiste: 61,194N 8,127E
Loppupiste: 60,938N 7,689E
Suunta: 219,8°
Kallistuskulma: 40,6°
Tulonopeus: 62,2 km/s
Radiantin R,A,: 03:01 (45,3°)
Radiantin Dekl,: 58,1°
Meteoriparvi: Perseidit
Meteoroidin rataelementit:
Perihelietäisyys: 0,966 AU
Eksentrisyys: 1,122
Inklinaatio: 113,9°
Nousevan solmun pituus: 139,4°
Perihelin argumentti: 155,8°
Keskianomalia: 0,7°
Epookki: 2016 AUG 11 21:36:10
orbit plot

Ei-interaktiivinen kuvaaja | Interaktiivinen kuvaaja

position vs time
speed and acceleration