🇳🇴 🇬🇧 🇩🇪 🇨🇿 🇫🇮

Meteor, poloha: Karlshus 2016-08-11 23:13:54 UTC

Soubor KML  |  InteraktivnĂ­ mapa

Mapa zobrazuje dráhy meteoru. Světlejší čáry ukazují směry od pozorovacích stanic při objevení se meteoru a tmavší čáry, kde byl naposledy viděn. Modrá šipka značí viditelnou dráhu meteoru.

static map
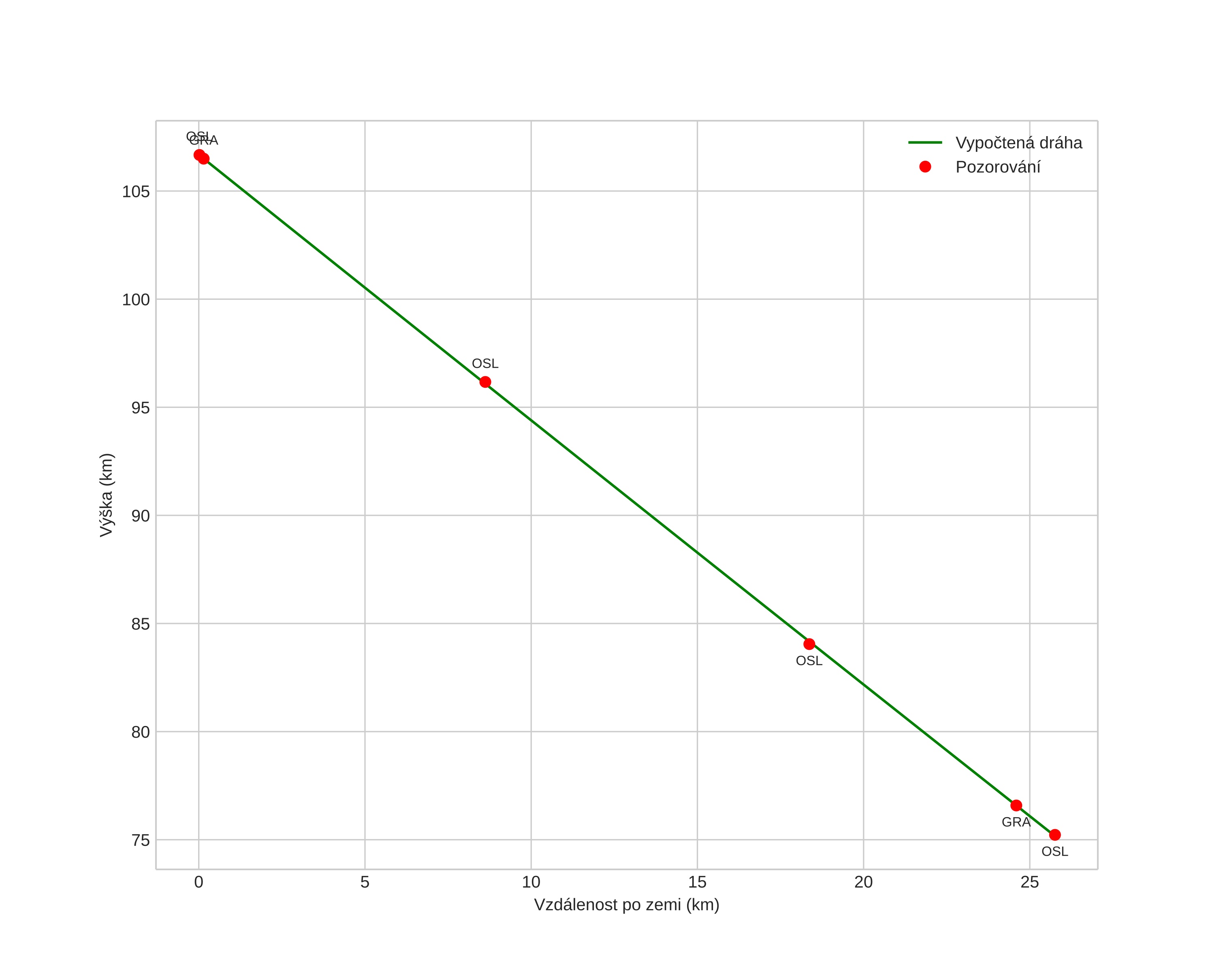
height profile
Atmosférická dráha meteoru:
Počáteční výška: 106,7 km
Konečná výška: 75,2 km
Počáteční poloha: 59,513N 11,204E
Konečná poloha: 59,382N 10,828E
Směr: 235,7°
Sklon: 50,8°
VstupnĂ­ rychlost: 58,1 km/s
Rektascenze radiantu: 02:44 (41,1°)
Deklinace radiantu: 57,9°
MeteorickĂ˝ roj: Perseidy
Elementy dráhy meteoroidu:
Vzdálenost v periheliu: 0,980 AU
Excentricita: 0,783
Sklon dráhy: 110,9°
Délka vzestupného uzlu: 139,5°
Argument perihelia: 157,7°
Střední anomálie: 1,7°
Epocha: 2016 AUG 11 23:13:54
orbit plot

NeinteraktivnĂ­ graf | InteraktivnĂ­ graf

position vs time
speed and acceleration