🇳🇴 🇬🇧 🇩🇪 🇨🇿 🇫🇮

Meteor Karlshusin yllä 2016-08-11 23:13:54 UTC

KML-tiedosto  |  Interaktiivinen kartta

Kartta näyttää meteorin suuntahavainnot. Vaaleammat viivat näyttävät suunnat havaintoasemilta meteorin ilmestyessä, ja tummemmat viivat näyttävät, missä se viimeksi nähtiin. Sininen nuoli näyttää meteorin näkyvän lennon.

static map
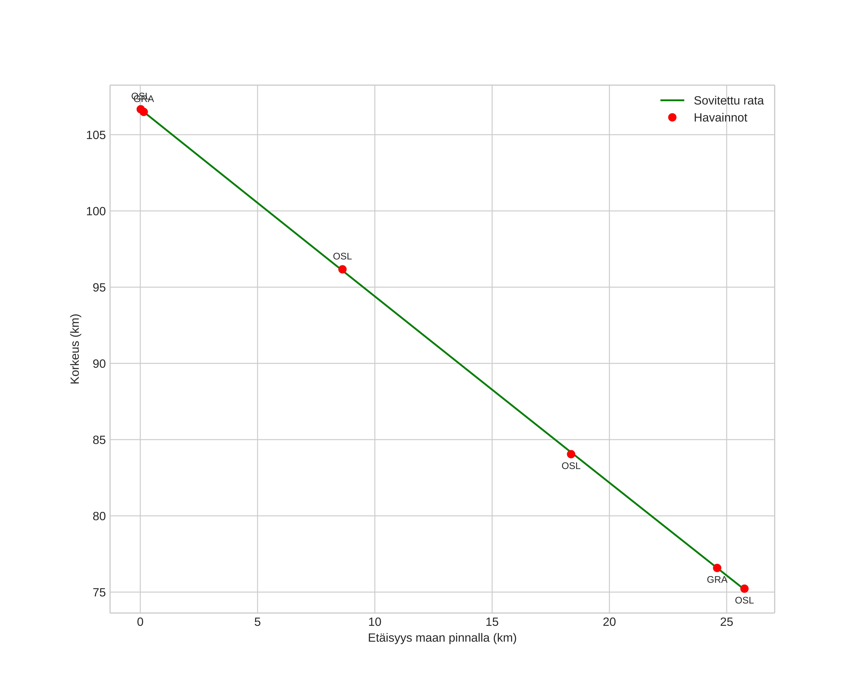
height profile
Meteorin ilmakehärata:
Alkukorkeus: 106,7 km
Loppukorkeus: 75,2 km
Alkupiste: 59,513N 11,204E
Loppupiste: 59,382N 10,828E
Suunta: 235,7°
Kallistuskulma: 50,8°
Tulonopeus: 58,1 km/s
Radiantin R,A,: 02:44 (41,1°)
Radiantin Dekl,: 57,9°
Meteoriparvi: Perseidit
Meteoroidin rataelementit:
Perihelietäisyys: 0,980 AU
Eksentrisyys: 0,783
Inklinaatio: 110,9°
Nousevan solmun pituus: 139,5°
Perihelin argumentti: 157,7°
Keskianomalia: 1,7°
Epookki: 2016 AUG 11 23:13:54
orbit plot

Ei-interaktiivinen kuvaaja | Interaktiivinen kuvaaja

position vs time
speed and acceleration