🇳🇴 🇬🇧 🇩🇪 🇨🇿 🇫🇮

Meteor, poloha: Ekshärad 2016-08-11 23:27:11 UTC

Soubor KML  |  InteraktivnĂ­ mapa

Mapa zobrazuje dráhy meteoru. Světlejší čáry ukazují směry od pozorovacích stanic při objevení se meteoru a tmavší čáry, kde byl naposledy viděn. Modrá šipka značí viditelnou dráhu meteoru.

static map
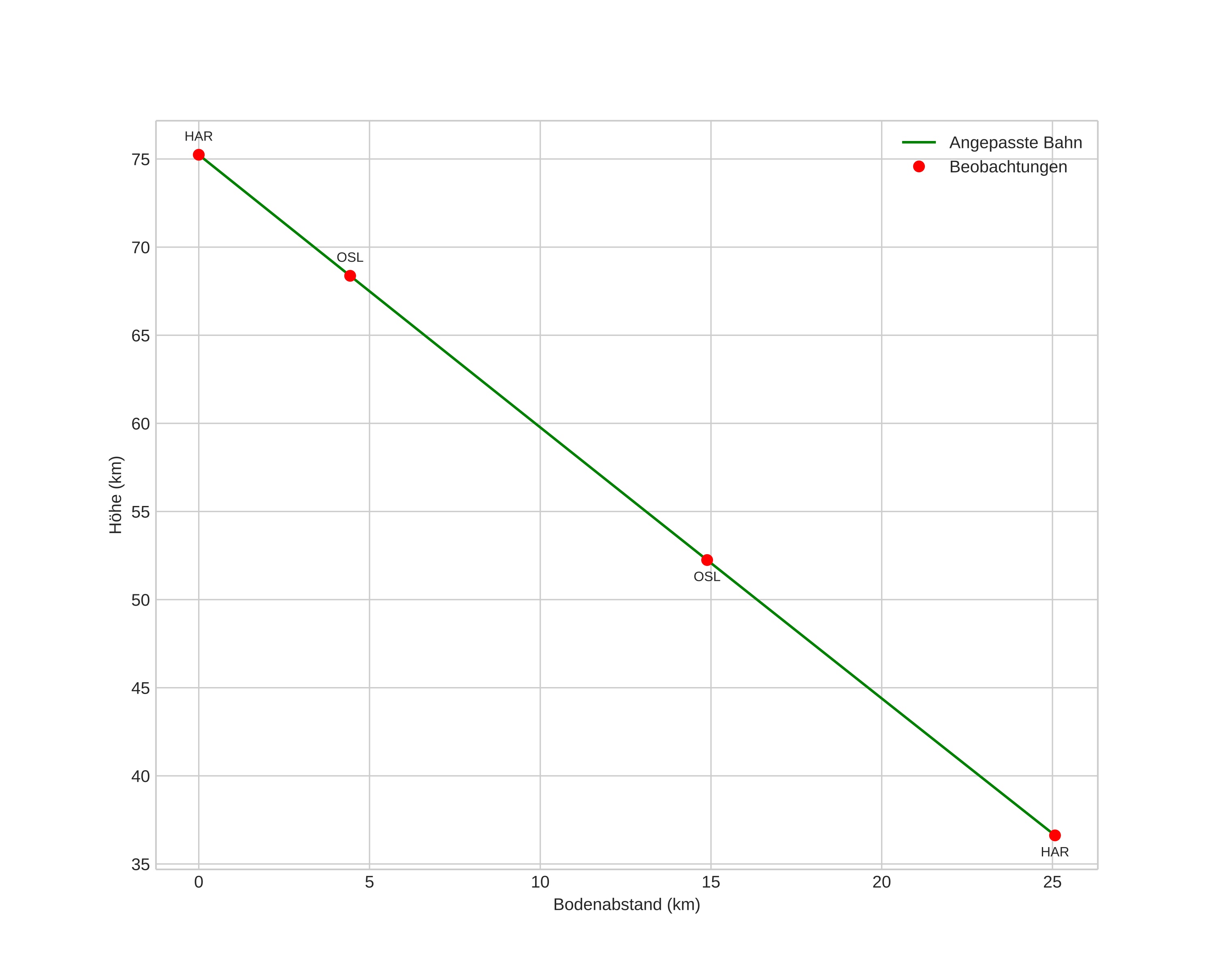
height profile
Atmosférická dráha meteoru:
Počáteční výška: 75,2 km
Konečná výška: 36,6 km
Počáteční poloha: 60,308N 13,163E
Konečná poloha: 60,509N 13,367E
Směr: 26,4°
Sklon: 57,0°
VstupnĂ­ rychlost: 12,5 km/s
Rektascenze radiantu: 20:19 (304,9°)
Deklinace radiantu: 16,8°
MeteorickĂ˝ roj: sporadickĂ˝
Elementy dráhy meteoroidu:
Vzdálenost v periheliu: 0,894 AU
Excentricita: 0,180
Sklon dráhy: 6,5°
Délka vzestupného uzlu: 139,5°
Argument perihelia: 256,8°
Střední anomálie: 302,6°
Epocha: 2016 AUG 11 23:27:11
orbit plot

NeinteraktivnĂ­ graf | InteraktivnĂ­ graf

position vs time
speed and acceleration