🇳🇴 🇬🇧 🇩🇪 🇨🇿 🇫🇮

Meteor Ekshäradin yllä 2016-08-11 23:27:11 UTC

KML-tiedosto  |  Interaktiivinen kartta

Kartta näyttää meteorin suuntahavainnot. Vaaleammat viivat näyttävät suunnat havaintoasemilta meteorin ilmestyessä, ja tummemmat viivat näyttävät, missä se viimeksi nähtiin. Sininen nuoli näyttää meteorin näkyvän lennon.

static map
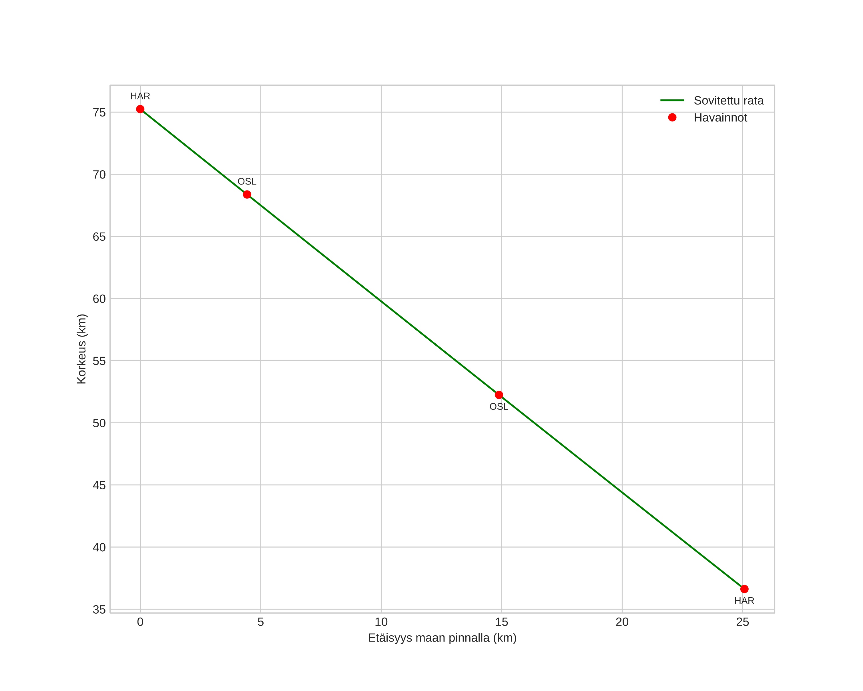
height profile
Meteorin ilmakehärata:
Alkukorkeus: 75,2 km
Loppukorkeus: 36,6 km
Alkupiste: 60,308N 13,163E
Loppupiste: 60,509N 13,367E
Suunta: 26,4°
Kallistuskulma: 57,0°
Tulonopeus: 12,5 km/s
Radiantin R,A,: 20:19 (304,9°)
Radiantin Dekl,: 16,8°
Meteoriparvi: Sporadinen
Meteoroidin rataelementit:
Perihelietäisyys: 0,894 AU
Eksentrisyys: 0,180
Inklinaatio: 6,5°
Nousevan solmun pituus: 139,5°
Perihelin argumentti: 256,8°
Keskianomalia: 302,6°
Epookki: 2016 AUG 11 23:27:11
orbit plot

Ei-interaktiivinen kuvaaja | Interaktiivinen kuvaaja

position vs time
speed and acceleration