🇳🇴 🇬🇧 🇩🇪 🇨🇿 🇫🇮

Meteor over Ekshärad 2016-08-11 23:27:11 UTC

KML file  |  Interactive map

The map shows the bearings for the meteor. The lighter lines show the directions from the observation sites at the meteor's appearance, and the darker lines show where it was last seen. The blue arrow indicates the visible path of the meteor.

static map
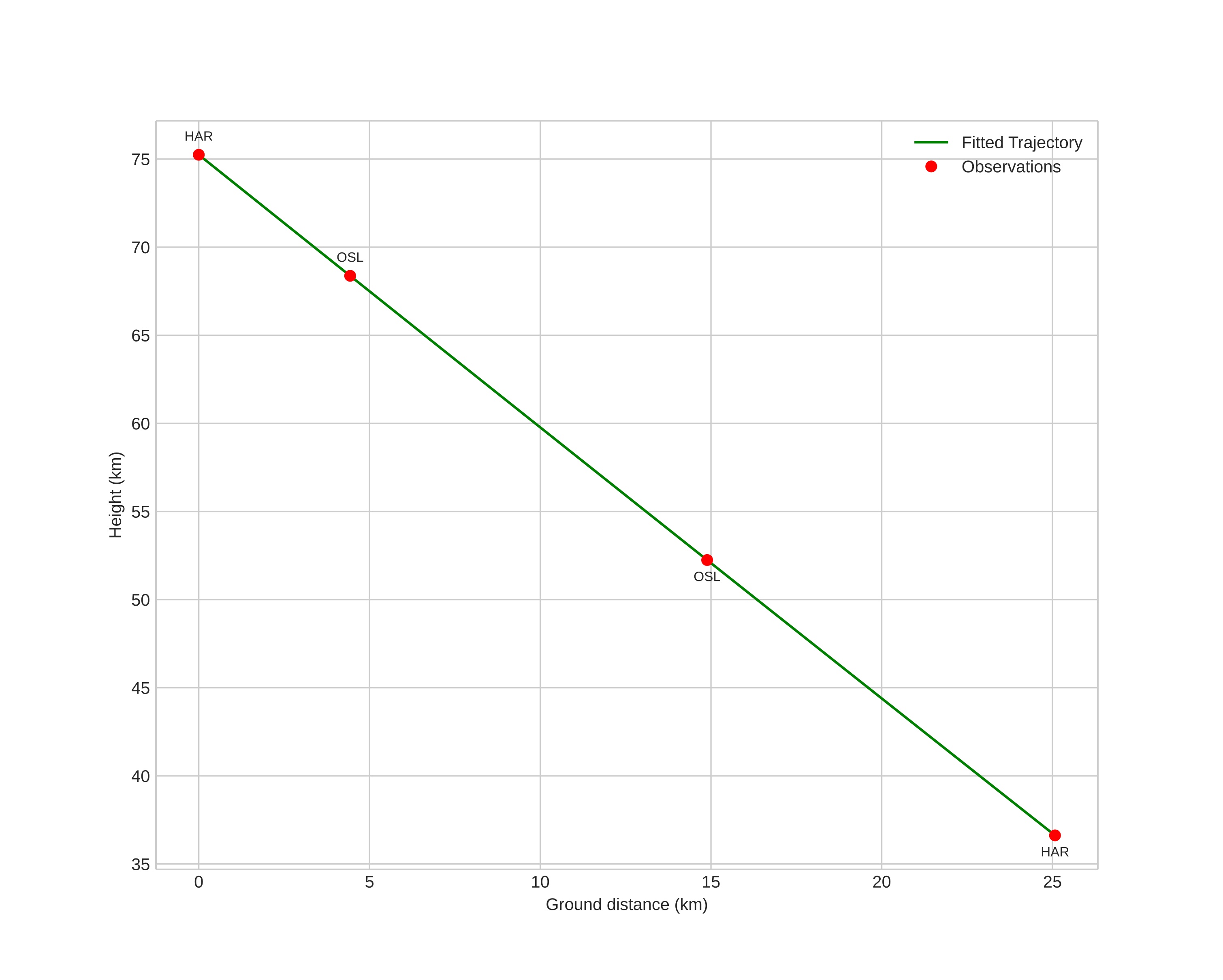
height profile
Meteor's Atmospheric Trajectory:
Start height: 75.2 km
End height: 36.6 km
Start position: 60.308N 13.163E
End position: 60.509N 13.367E
Direction: 26.4°
Inclination angle: 57.0°
Entry speed: 12.5 km/s
Radiant R.A.: 20:19 (304.9°)
Radiant Dec.: 16.8°
Meteor Shower: sporadic
Meteoroid's Orbital Elements:
Perihelion distance: 0.894 AU
Eccentricity: 0.180
Inclination: 6.5°
Long. of Asc. Node: 139.5°
Argument of Perihelion: 256.8°
Mean Anomaly: 302.6°
Epoch: 2016 AUG 11 23:27:11
orbit plot

Non-interactive plot | Interactive plot

position vs time
speed and acceleration

Solobservatoriet (HAR) cam3


gnomonic
Videos
• Gnomonic
• Gnomonic with coordinates
• Original
• Original with coordinates
Images
• Gnomonic
• Gnomonic with coordinates
• Uncorrected gnomonic with coordinates
• Gnomonic with labels
• Uncorrected gnomonic with labels
• Original
• Original with coordinates
• Original with mask
Text Files
• Detection
• Observation
• Coordinates
• Error Messages
• Log
Brightness

Voksenlia (OSL) cam3


gnomonic
Videos
• Gnomonic
• Gnomonic with coordinates
• Original
• Original with coordinates
Images
• Gnomonic
• Gnomonic with coordinates
• Uncorrected gnomonic with coordinates
• Gnomonic with labels
• Uncorrected gnomonic with labels
• Original
• Original with coordinates
• Original with mask
Text Files
• Detection
• Observation
• Coordinates
• Error Messages
• Log
Brightness