🇳🇴 🇬🇧 🇩🇪 🇨🇿 🇫🇮

Meteor, poloha: Kirkebygda 2016-08-13 23:08:26 UTC

Soubor KML  |  InteraktivnĂ­ mapa

Mapa zobrazuje dráhy meteoru. Světlejší čáry ukazují směry od pozorovacích stanic při objevení se meteoru a tmavší čáry, kde byl naposledy viděn. Modrá šipka značí viditelnou dráhu meteoru.

static map
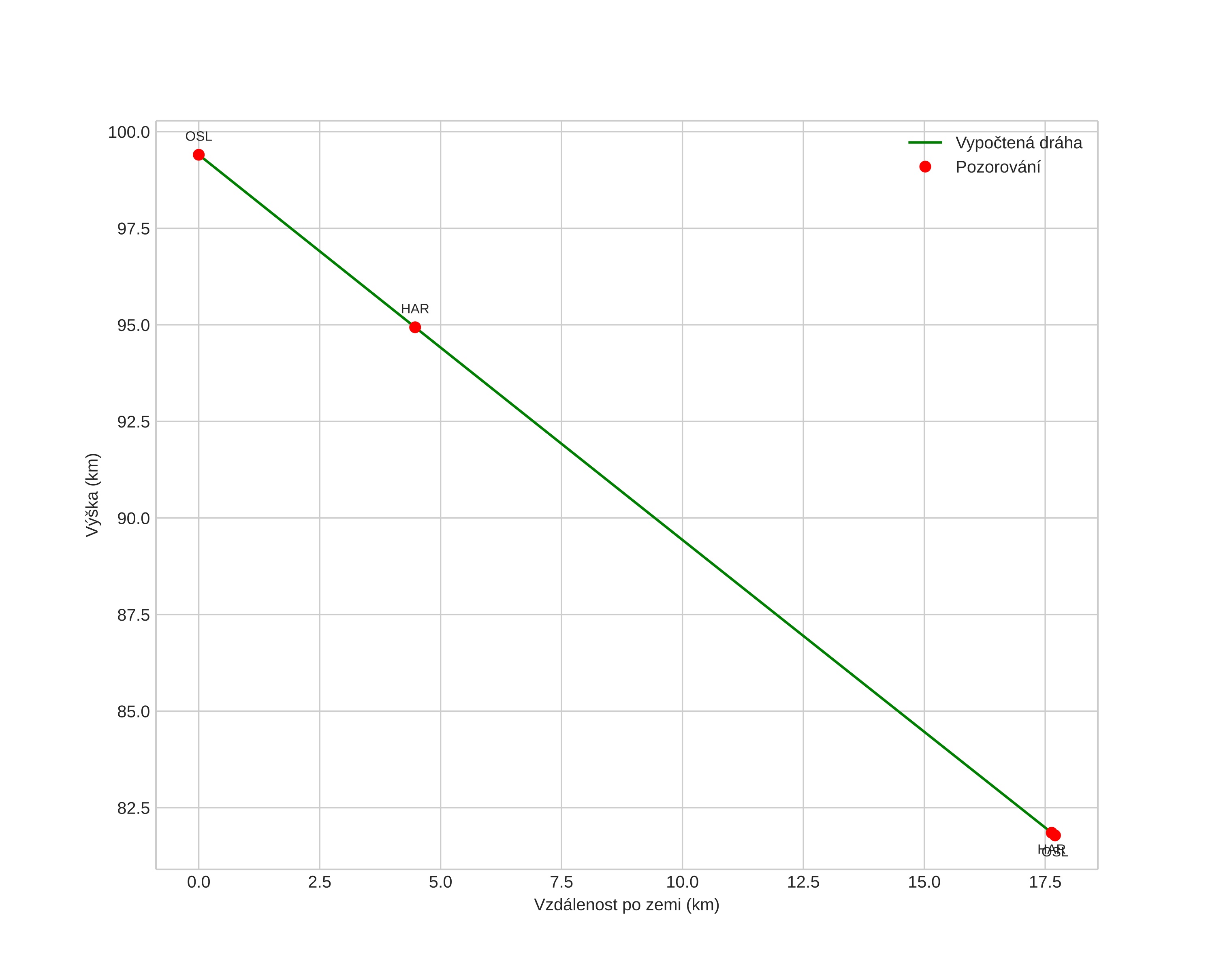
height profile
Atmosférická dráha meteoru:
Počáteční výška: 99,4 km
Konečná výška: 81,8 km
Počáteční poloha: 59,631N 11,132E
Konečná poloha: 59,524N 10,898E
Směr: 228,3°
Sklon: 44,8°
VstupnĂ­ rychlost: 54,8 km/s
Rektascenze radiantu: 03:46 (56,6°)
Deklinace radiantu: 57,6°
MeteorickĂ˝ roj: Perseidy
Elementy dráhy meteoroidu:
Vzdálenost v periheliu: 0,850 AU
Excentricita: 0,579
Sklon dráhy: 110,1°
Délka vzestupného uzlu: 141,4°
Argument perihelia: 124,2°
Střední anomálie: 13,7°
Epocha: 2016 AUG 13 23:08:26
orbit plot

NeinteraktivnĂ­ graf | InteraktivnĂ­ graf

position vs time
speed and acceleration