🇳🇴 🇬🇧 🇩🇪 🇨🇿 🇫🇮

Meteor Kirkebygdan yllä 2016-08-13 23:08:26 UTC

KML-tiedosto  |  Interaktiivinen kartta

Kartta näyttää meteorin suuntahavainnot. Vaaleammat viivat näyttävät suunnat havaintoasemilta meteorin ilmestyessä, ja tummemmat viivat näyttävät, missä se viimeksi nähtiin. Sininen nuoli näyttää meteorin näkyvän lennon.

static map
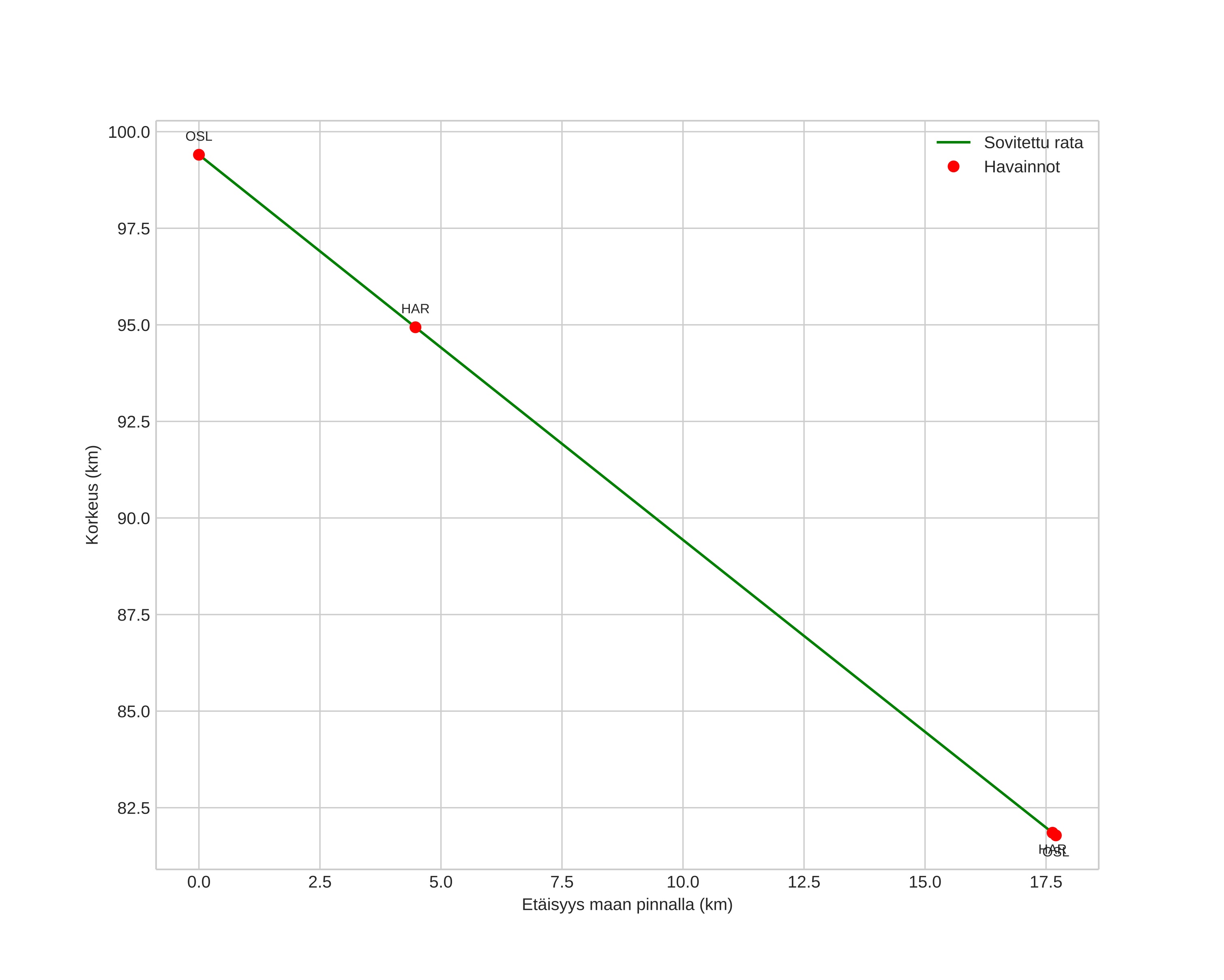
height profile
Meteorin ilmakehärata:
Alkukorkeus: 99,4 km
Loppukorkeus: 81,8 km
Alkupiste: 59,631N 11,132E
Loppupiste: 59,524N 10,898E
Suunta: 228,3°
Kallistuskulma: 44,8°
Tulonopeus: 54,8 km/s
Radiantin R,A,: 03:46 (56,6°)
Radiantin Dekl,: 57,6°
Meteoriparvi: Perseidit
Meteoroidin rataelementit:
Perihelietäisyys: 0,850 AU
Eksentrisyys: 0,579
Inklinaatio: 110,1°
Nousevan solmun pituus: 141,4°
Perihelin argumentti: 124,2°
Keskianomalia: 13,7°
Epookki: 2016 AUG 13 23:08:26
orbit plot

Ei-interaktiivinen kuvaaja | Interaktiivinen kuvaaja

position vs time
speed and acceleration