🇳🇴 🇬🇧 🇩🇪 🇨🇿 🇫🇮

Meteor, poloha: Arendal 2016-09-04 21:47:54 UTC

Soubor KML  |  InteraktivnĂ­ mapa

Mapa zobrazuje dráhy meteoru. Světlejší čáry ukazují směry od pozorovacích stanic při objevení se meteoru a tmavší čáry, kde byl naposledy viděn. Modrá šipka značí viditelnou dráhu meteoru.

static map
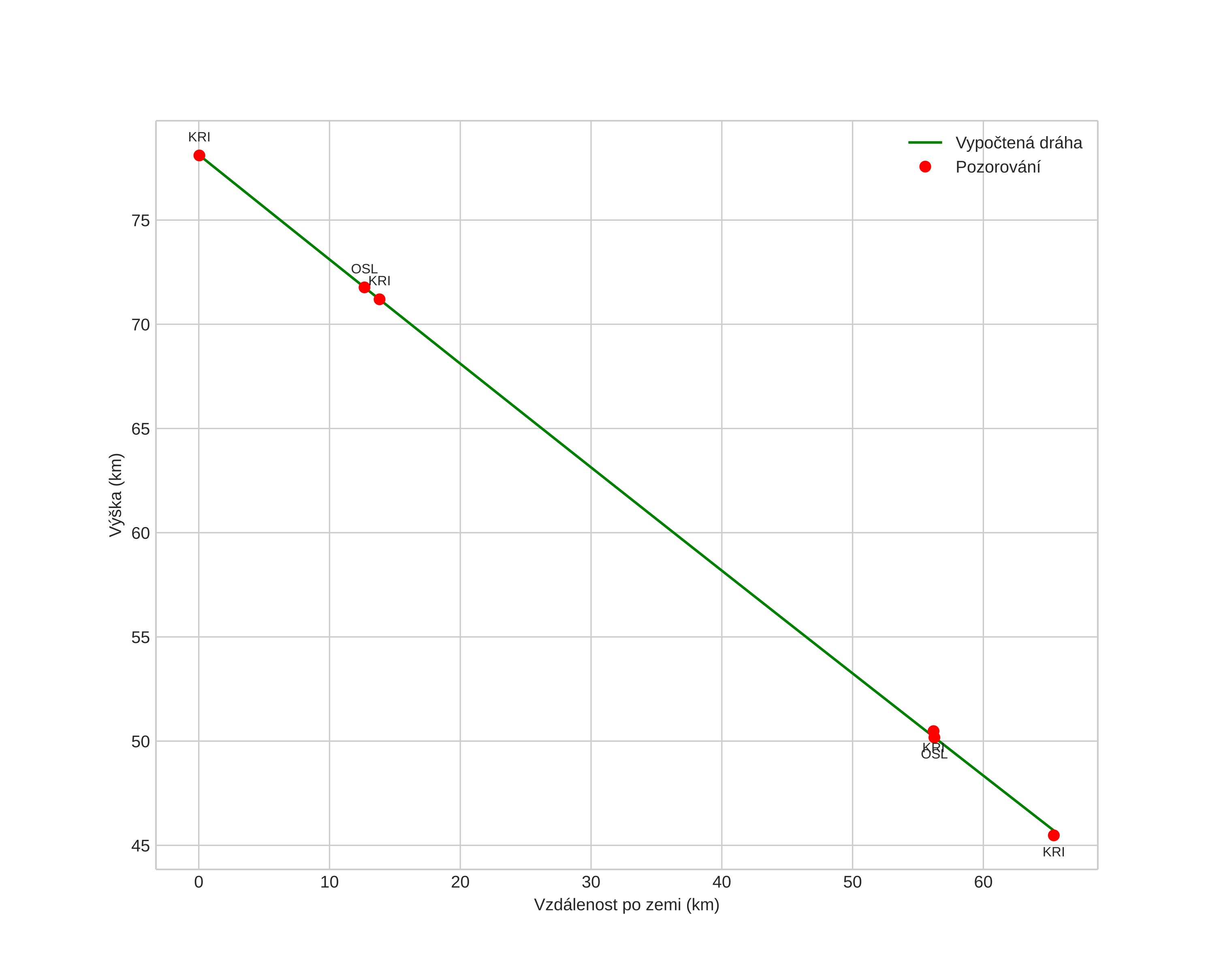
height profile
Atmosférická dráha meteoru:
Počáteční výška: 78,1 km
Konečná výška: 45,7 km
Počáteční poloha: 57,655N 8,492E
Konečná poloha: 58,200N 8,915E
Směr: 22,3°
Sklon: 26,3°
VstupnĂ­ rychlost: 13,4 km/s
Rektascenze radiantu: 19:36 (294,2°)
Deklinace radiantu: -23,2°
MeteorickĂ˝ roj: sporadickĂ˝
Elementy dráhy meteoroidu:
Vzdálenost v periheliu: 0,974 AU
Excentricita: 0,474
Sklon dráhy: 0,3°
Délka vzestupného uzlu: 342,5°
Argument perihelia: 26,6°
Střední anomálie: 351,4°
Epocha: 2016 SEP 04 21:47:54
orbit plot

NeinteraktivnĂ­ graf | InteraktivnĂ­ graf

position vs time
speed and acceleration