🇳🇴 🇬🇧 🇩🇪 🇨🇿 🇫🇮

Meteor Arendalin yllä 2016-09-04 21:47:54 UTC

KML-tiedosto  |  Interaktiivinen kartta

Kartta näyttää meteorin suuntahavainnot. Vaaleammat viivat näyttävät suunnat havaintoasemilta meteorin ilmestyessä, ja tummemmat viivat näyttävät, missä se viimeksi nähtiin. Sininen nuoli näyttää meteorin näkyvän lennon.

static map
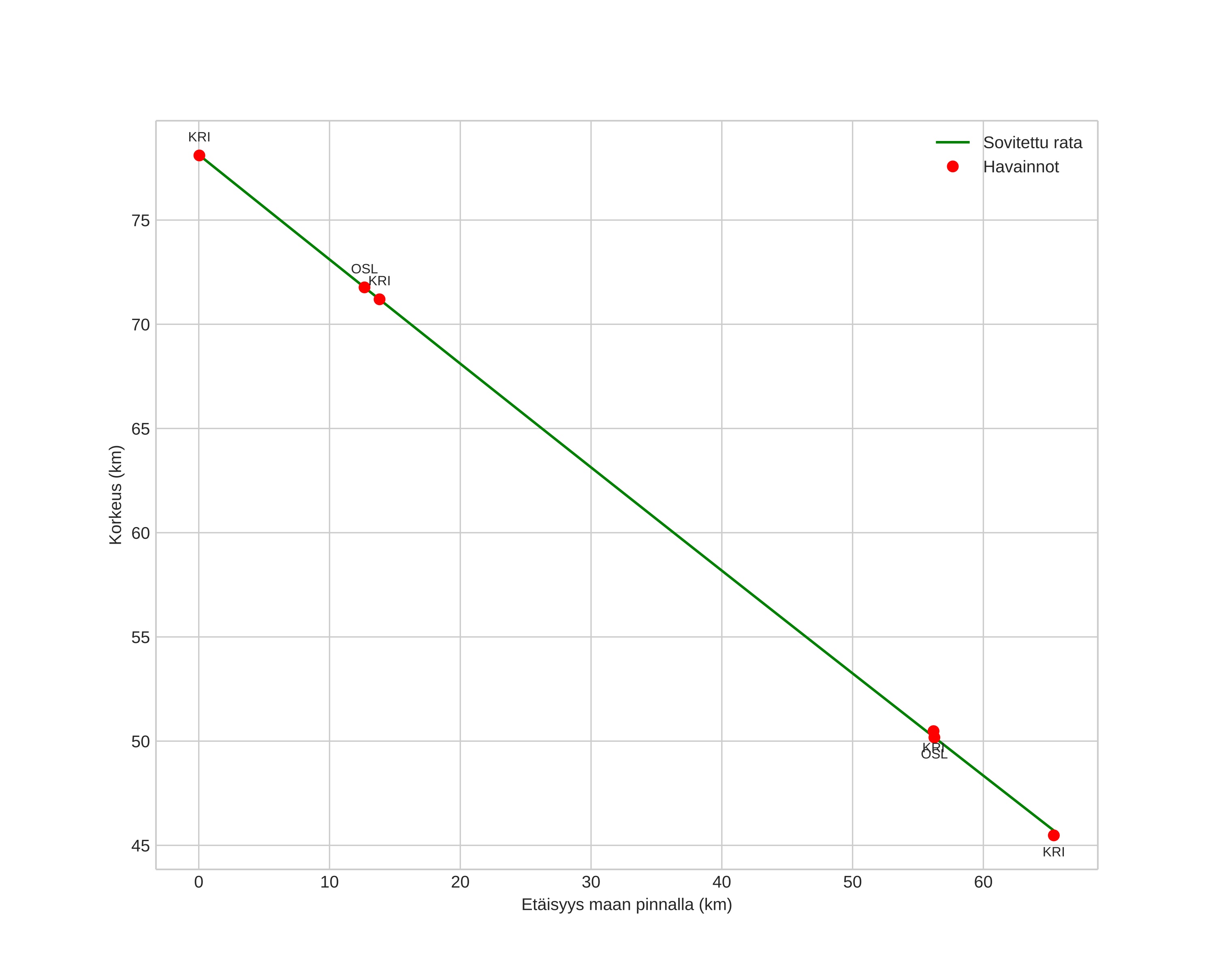
height profile
Meteorin ilmakehärata:
Alkukorkeus: 78,1 km
Loppukorkeus: 45,7 km
Alkupiste: 57,655N 8,492E
Loppupiste: 58,200N 8,915E
Suunta: 22,3°
Kallistuskulma: 26,3°
Tulonopeus: 13,4 km/s
Radiantin R,A,: 19:36 (294,2°)
Radiantin Dekl,: -23,2°
Meteoriparvi: Sporadinen
Meteoroidin rataelementit:
Perihelietäisyys: 0,974 AU
Eksentrisyys: 0,474
Inklinaatio: 0,3°
Nousevan solmun pituus: 342,5°
Perihelin argumentti: 26,6°
Keskianomalia: 351,4°
Epookki: 2016 SEP 04 21:47:54
orbit plot

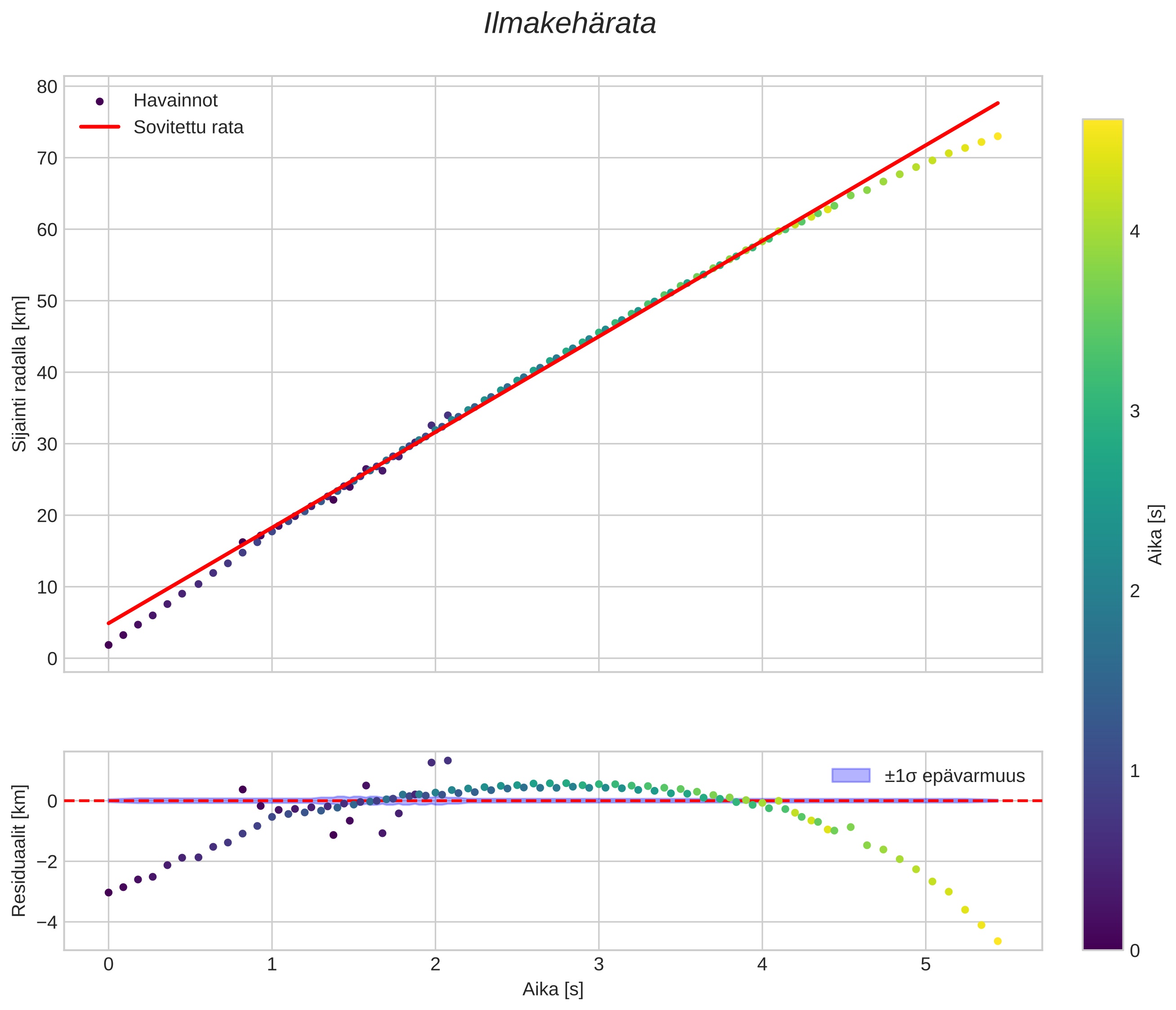
Ei-interaktiivinen kuvaaja | Interaktiivinen kuvaaja

position vs time
speed and acceleration