🇳🇴 🇬🇧 🇩🇪 🇨🇿 🇫🇮

Meteor, poloha: Hauge i Dalane 2016-09-23 19:08:04 UTC

Soubor KML  |  InteraktivnĂ­ mapa

Mapa zobrazuje dráhy meteoru. Světlejší čáry ukazují směry od pozorovacích stanic při objevení se meteoru a tmavší čáry, kde byl naposledy viděn. Modrá šipka značí viditelnou dráhu meteoru.

static map
height profile
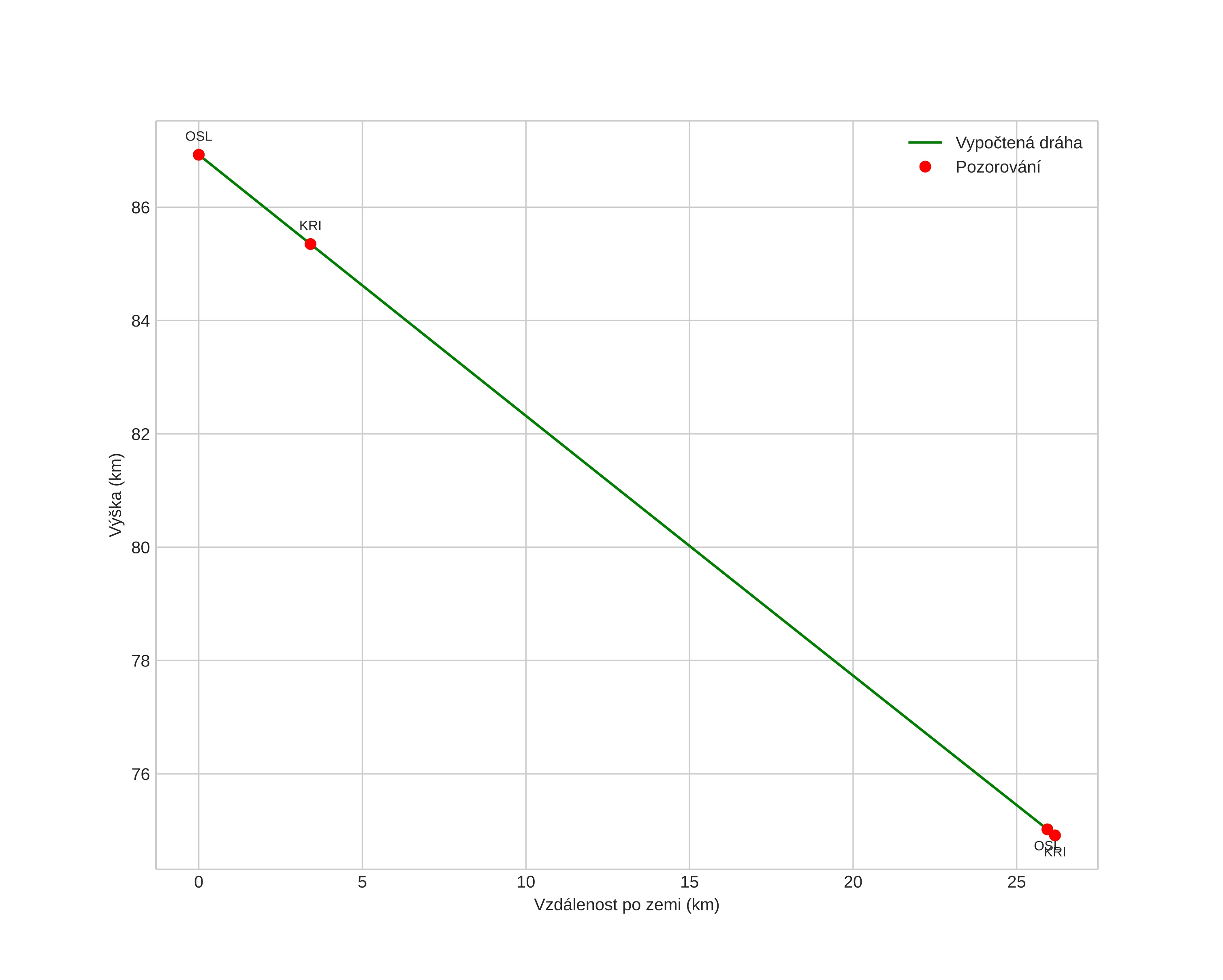
Atmosférická dráha meteoru:
Počáteční výška: 86,9 km
Konečná výška: 74,9 km
Počáteční poloha: 58,061N 5,806E
Konečná poloha: 57,872N 6,071E
Směr: 143,2°
Sklon: 24,6°
VstupnĂ­ rychlost: 45,5 km/s
Rektascenze radiantu: 11:16 (169,0°)
Deklinace radiantu: 46,5°
MeteorickĂ˝ roj: sporadickĂ˝
Elementy dráhy meteoroidu:
Vzdálenost v periheliu: 0,497 AU
Excentricita: 0,966
Sklon dráhy: 67,8°
Délka vzestupného uzlu: 180,9°
Argument perihelia: 88,5°
Střední anomálie: 0,7°
Epocha: 2016 SEP 23 19:08:04
orbit plot

NeinteraktivnĂ­ graf | InteraktivnĂ­ graf

position vs time
speed and acceleration