🇳🇴 🇬🇧 🇩🇪 🇨🇿 🇫🇮

Meteor Hauge i Dalanen yllä 2016-09-23 19:08:04 UTC

KML-tiedosto  |  Interaktiivinen kartta

Kartta näyttää meteorin suuntahavainnot. Vaaleammat viivat näyttävät suunnat havaintoasemilta meteorin ilmestyessä, ja tummemmat viivat näyttävät, missä se viimeksi nähtiin. Sininen nuoli näyttää meteorin näkyvän lennon.

static map
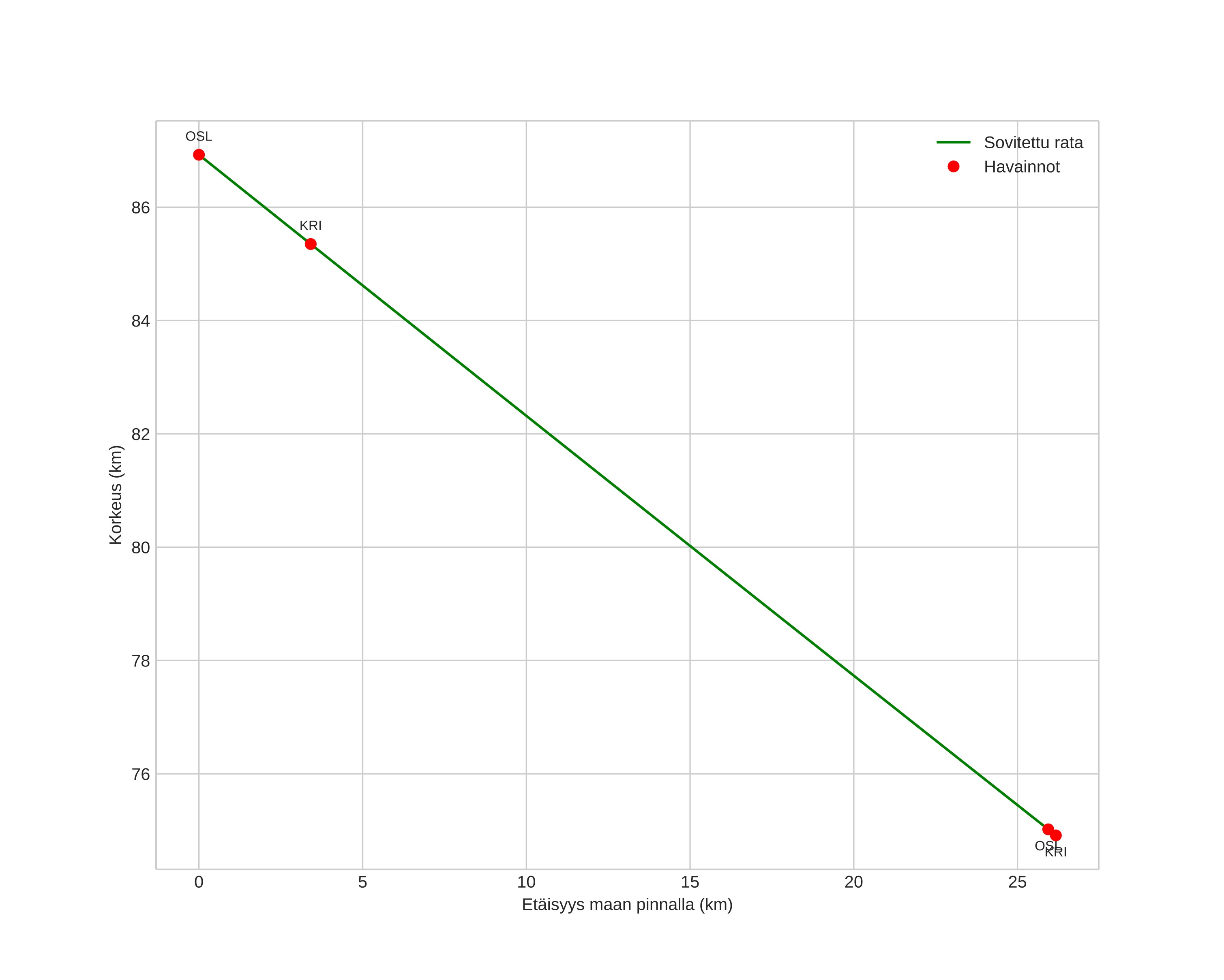
height profile
Meteorin ilmakehärata:
Alkukorkeus: 86,9 km
Loppukorkeus: 74,9 km
Alkupiste: 58,061N 5,806E
Loppupiste: 57,872N 6,071E
Suunta: 143,2°
Kallistuskulma: 24,6°
Tulonopeus: 45,5 km/s
Radiantin R,A,: 11:16 (169,0°)
Radiantin Dekl,: 46,5°
Meteoriparvi: Sporadinen
Meteoroidin rataelementit:
Perihelietäisyys: 0,497 AU
Eksentrisyys: 0,966
Inklinaatio: 67,8°
Nousevan solmun pituus: 180,9°
Perihelin argumentti: 88,5°
Keskianomalia: 0,7°
Epookki: 2016 SEP 23 19:08:04
orbit plot

Ei-interaktiivinen kuvaaja | Interaktiivinen kuvaaja

position vs time
speed and acceleration