🇳🇴 🇬🇧 🇩🇪 🇨🇿 🇫🇮

Meteor, poloha: Töcksfors 2016-09-26 19:11:26 UTC

Soubor KML  |  Interaktivní mapa

Mapa zobrazuje dráhy meteoru. Světlejší čáry ukazují směry od pozorovacích stanic při objevení se meteoru a tmavší čáry, kde byl naposledy viděn. Modrá šipka značí viditelnou dráhu meteoru.

static map
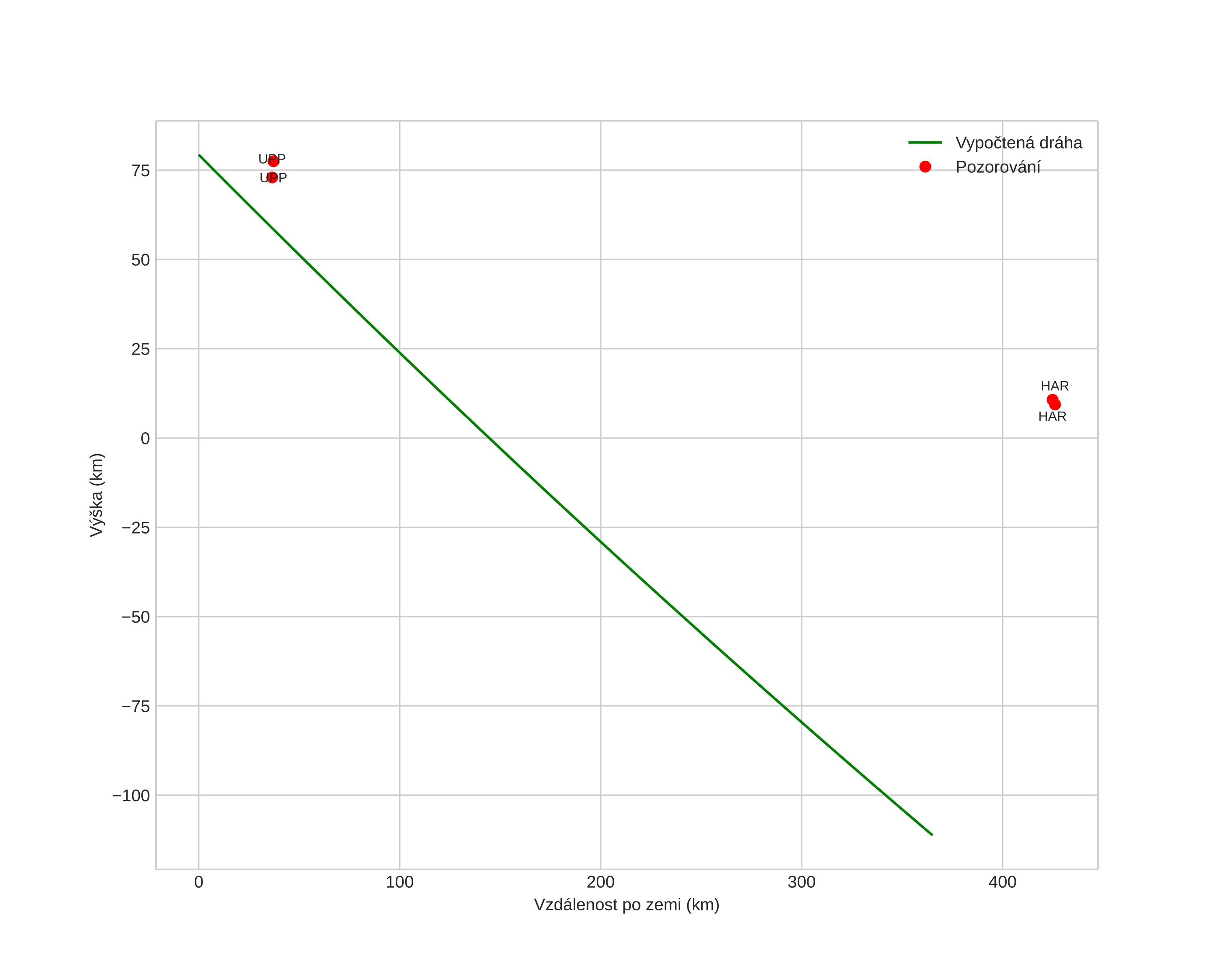
height profile
Atmosférická dráha meteoru:
Počáteční výška: 79,3 km
Konečná výška: -111,3 km
Počáteční poloha: 60,205N 18,525E
Konečná poloha: 59,699N 12,042E
Směr: 264,0°
Sklon: 27,6°
position vs time
speed and acceleration