🇳🇴 🇬🇧 🇩🇪 🇨🇿 🇫🇮

Meteor Töcksforsin yllä 2016-09-26 19:11:26 UTC

KML-tiedosto  |  Interaktiivinen kartta

Kartta näyttää meteorin suuntahavainnot. Vaaleammat viivat näyttävät suunnat havaintoasemilta meteorin ilmestyessä, ja tummemmat viivat näyttävät, missä se viimeksi nähtiin. Sininen nuoli näyttää meteorin näkyvän lennon.

static map
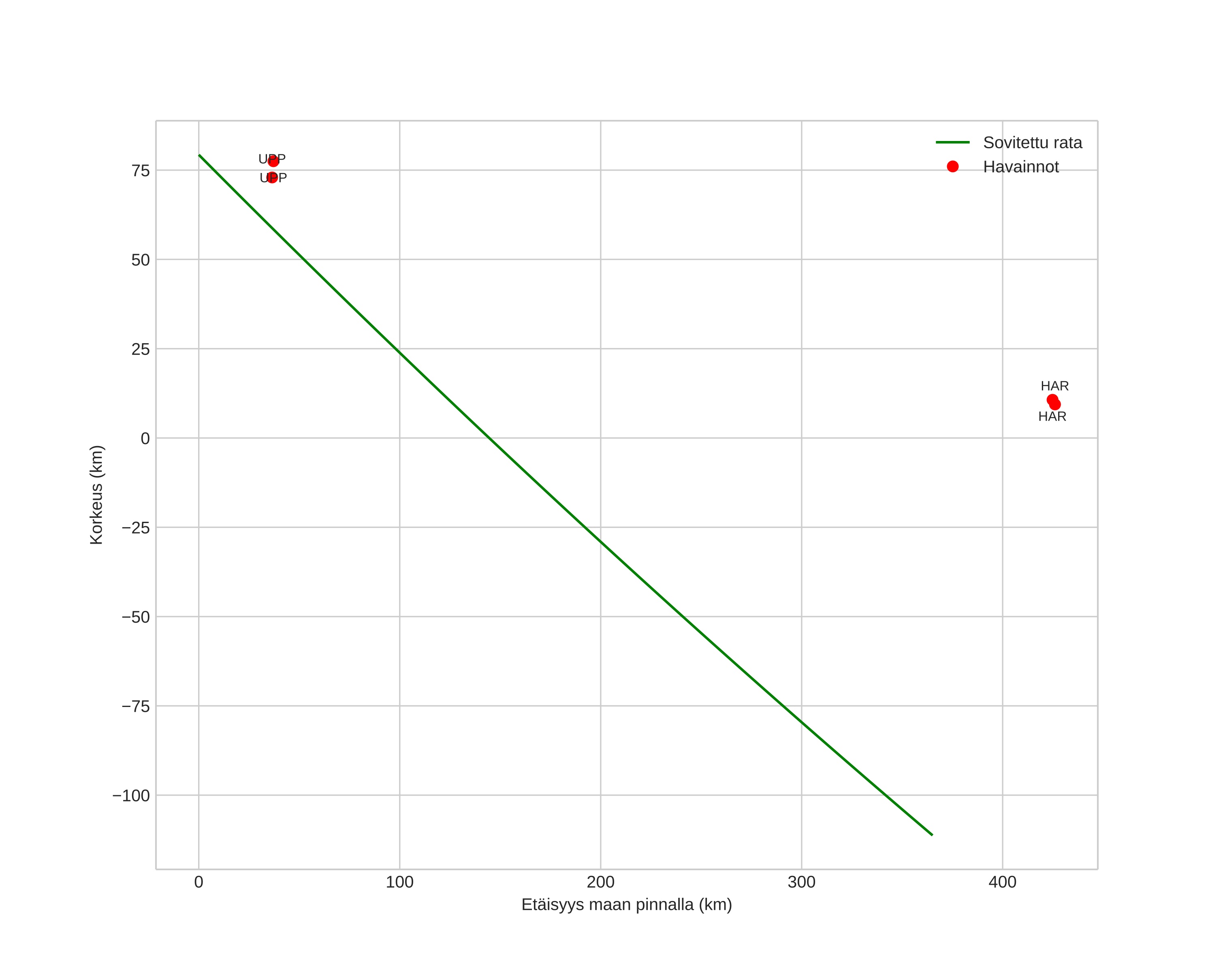
height profile
Meteorin ilmakehärata:
Alkukorkeus: 79,3 km
Loppukorkeus: -111,3 km
Alkupiste: 60,205N 18,525E
Loppupiste: 59,699N 12,042E
Suunta: 264,0°
Kallistuskulma: 27,6°
position vs time
speed and acceleration