🇳🇴 🇬🇧 🇩🇪 🇨🇿 🇫🇮

Meteor, poloha: Hvittingfoss 2016-10-01 19:01:18 UTC

Soubor KML  |  InteraktivnĂ­ mapa

Mapa zobrazuje dráhy meteoru. Světlejší čáry ukazují směry od pozorovacích stanic při objevení se meteoru a tmavší čáry, kde byl naposledy viděn. Modrá šipka značí viditelnou dráhu meteoru.

static map
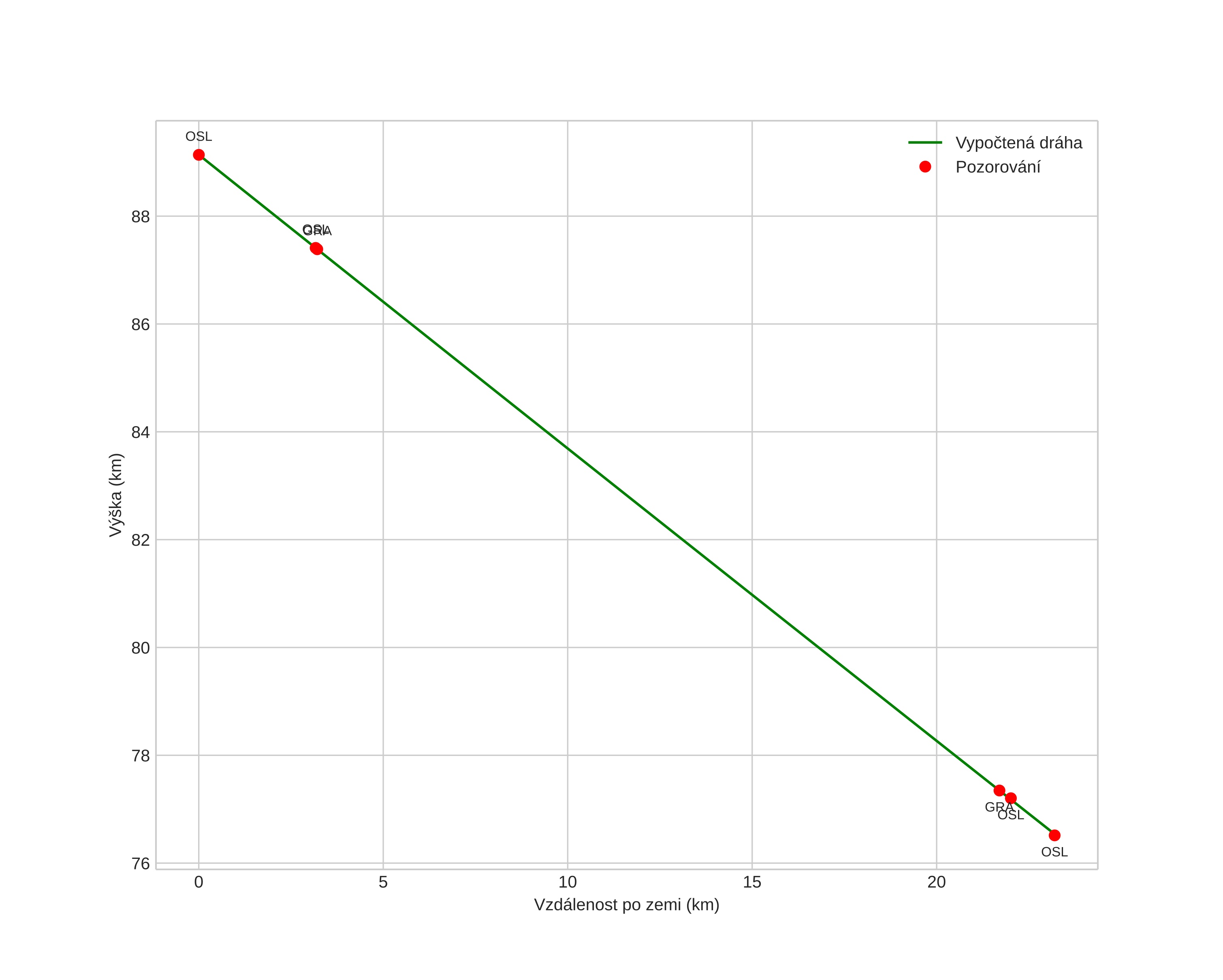
height profile
Atmosférická dráha meteoru:
Počáteční výška: 89,1 km
Konečná výška: 76,5 km
Počáteční poloha: 59,429N 10,395E
Konečná poloha: 59,521N 10,027E
Směr: 296,4°
Sklon: 28,5°
VstupnĂ­ rychlost: 24,6 km/s
Rektascenze radiantu: 00:05 (1,5°)
Deklinace radiantu: 8,7°
MeteorickĂ˝ roj: sporadickĂ˝
Elementy dráhy meteoroidu:
Vzdálenost v periheliu: 0,622 AU
Excentricita: 0,786
Sklon dráhy: 5,1°
Délka vzestupného uzlu: 188,8°
Argument perihelia: 261,9°
Střední anomálie: 351,4°
Epocha: 2016 OCT 01 19:01:18
orbit plot

NeinteraktivnĂ­ graf | InteraktivnĂ­ graf

position vs time
speed and acceleration