🇳🇴 🇬🇧 🇩🇪 🇨🇿 🇫🇮

Meteor Hvittingfossin yllä 2016-10-01 19:01:18 UTC

KML-tiedosto  |  Interaktiivinen kartta

Kartta näyttää meteorin suuntahavainnot. Vaaleammat viivat näyttävät suunnat havaintoasemilta meteorin ilmestyessä, ja tummemmat viivat näyttävät, missä se viimeksi nähtiin. Sininen nuoli näyttää meteorin näkyvän lennon.

static map
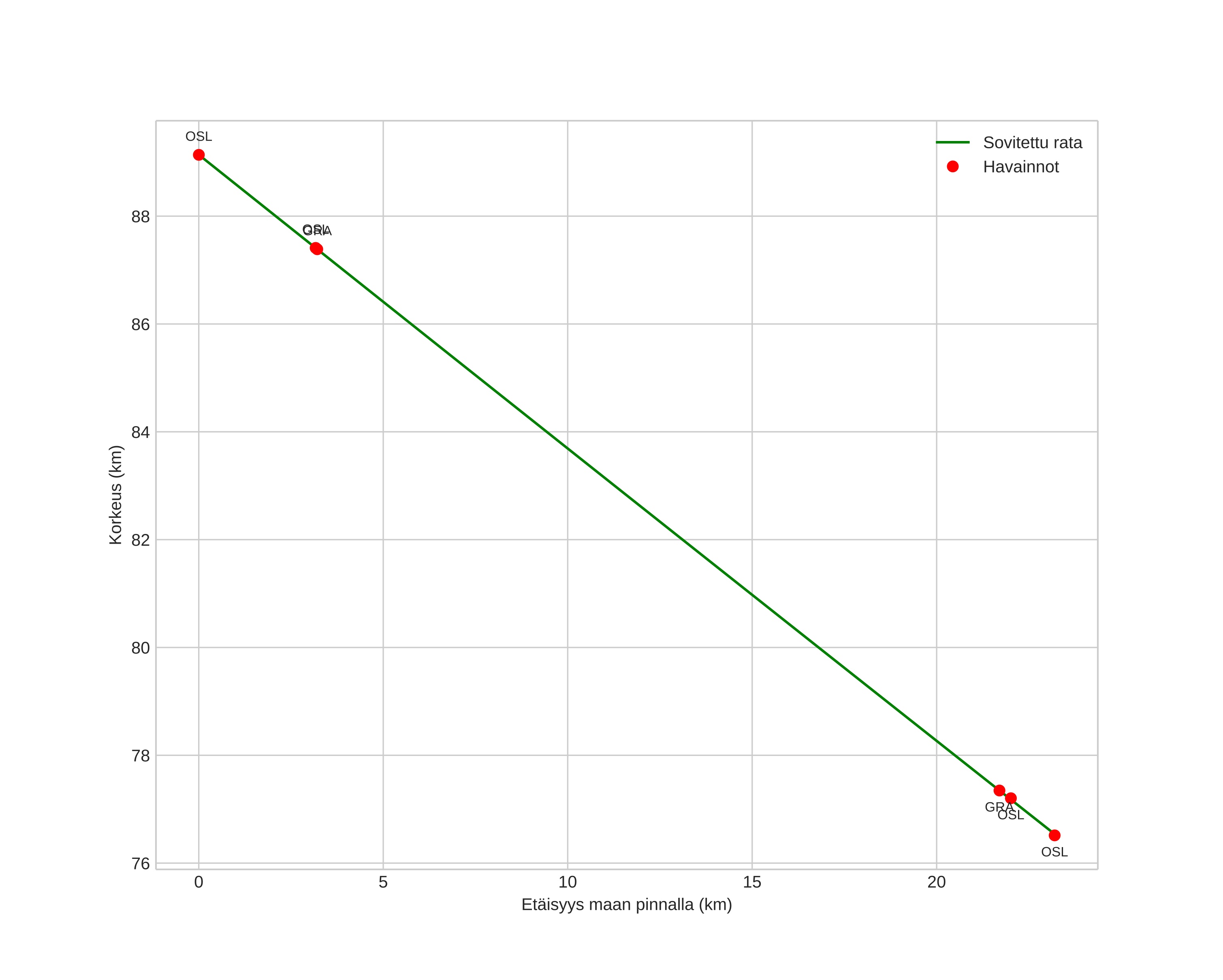
height profile
Meteorin ilmakehärata:
Alkukorkeus: 89,1 km
Loppukorkeus: 76,5 km
Alkupiste: 59,429N 10,395E
Loppupiste: 59,521N 10,027E
Suunta: 296,4°
Kallistuskulma: 28,5°
Tulonopeus: 24,6 km/s
Radiantin R,A,: 00:05 (1,5°)
Radiantin Dekl,: 8,7°
Meteoriparvi: Sporadinen
Meteoroidin rataelementit:
Perihelietäisyys: 0,622 AU
Eksentrisyys: 0,786
Inklinaatio: 5,1°
Nousevan solmun pituus: 188,8°
Perihelin argumentti: 261,9°
Keskianomalia: 351,4°
Epookki: 2016 OCT 01 19:01:18
orbit plot

Ei-interaktiivinen kuvaaja | Interaktiivinen kuvaaja

position vs time
speed and acceleration