🇳🇴 🇬🇧 🇩🇪 🇨🇿 🇫🇮

Meteor, poloha: Koppang 2016-10-03 19:06:11 UTC

Soubor KML  |  InteraktivnĂ­ mapa

Mapa zobrazuje dráhy meteoru. Světlejší čáry ukazují směry od pozorovacích stanic při objevení se meteoru a tmavší čáry, kde byl naposledy viděn. Modrá šipka značí viditelnou dráhu meteoru.

static map
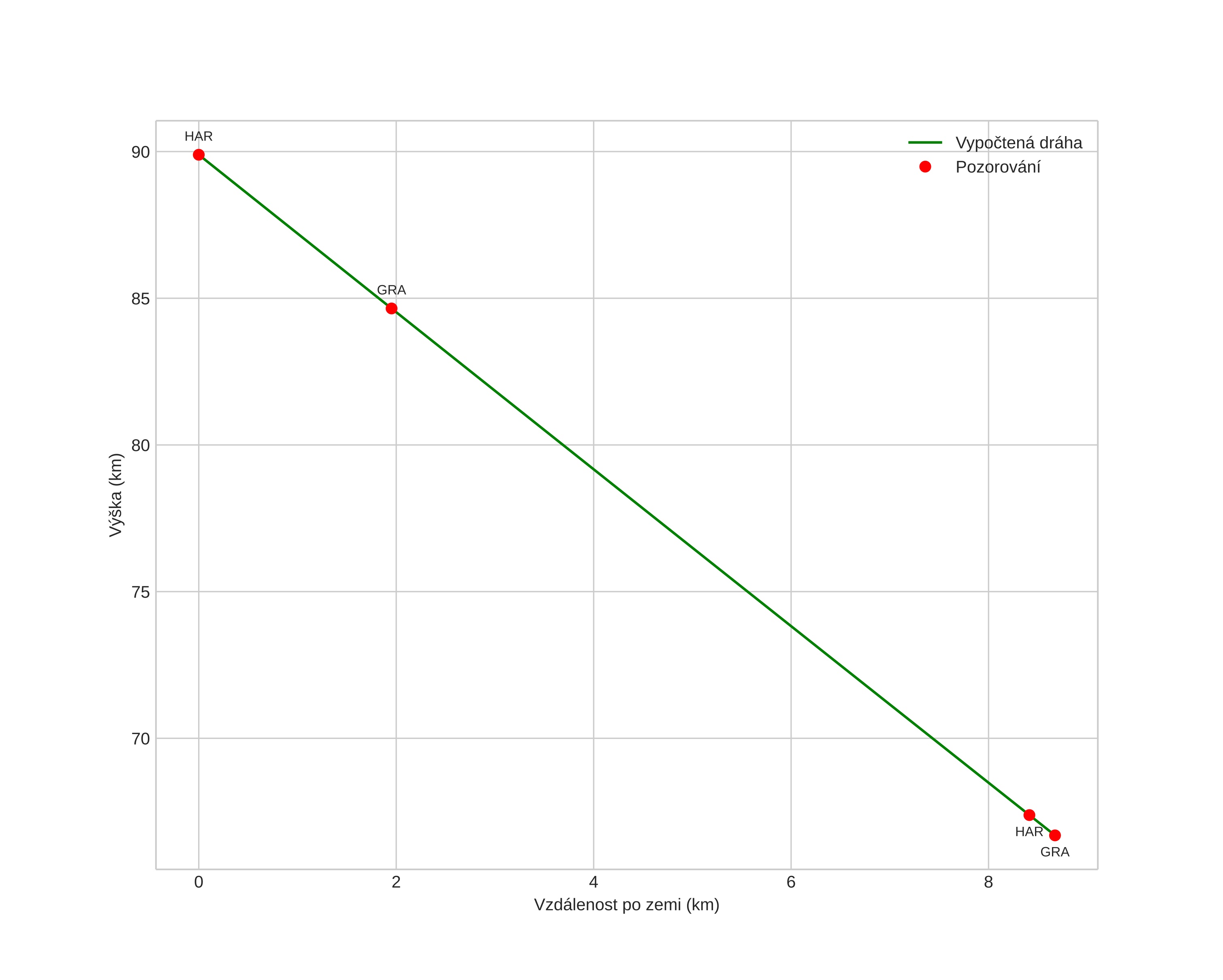
height profile
Atmosférická dráha meteoru:
Počáteční výška: 89,9 km
Konečná výška: 66,7 km
Počáteční poloha: 61,560N 11,190E
Konečná poloha: 61,487N 11,247E
Směr: 159,6°
Sklon: 69,5°
VstupnĂ­ rychlost: 29,2 km/s
Rektascenze radiantu: 17:52 (268,2°)
Deklinace radiantu: 78,5°
MeteorickĂ˝ roj: sporadickĂ˝
Elementy dráhy meteoroidu:
Vzdálenost v periheliu: 0,998 AU
Excentricita: 0,454
Sklon dráhy: 47,5°
Délka vzestupného uzlu: 190,8°
Argument perihelia: 187,1°
Střední anomálie: 357,6°
Epocha: 2016 OCT 03 19:06:11
orbit plot

NeinteraktivnĂ­ graf | InteraktivnĂ­ graf

position vs time
speed and acceleration