🇳🇴 🇬🇧 🇩🇪 🇨🇿 🇫🇮

Meteor Koppangin yllä 2016-10-03 19:06:11 UTC

KML-tiedosto  |  Interaktiivinen kartta

Kartta näyttää meteorin suuntahavainnot. Vaaleammat viivat näyttävät suunnat havaintoasemilta meteorin ilmestyessä, ja tummemmat viivat näyttävät, missä se viimeksi nähtiin. Sininen nuoli näyttää meteorin näkyvän lennon.

static map
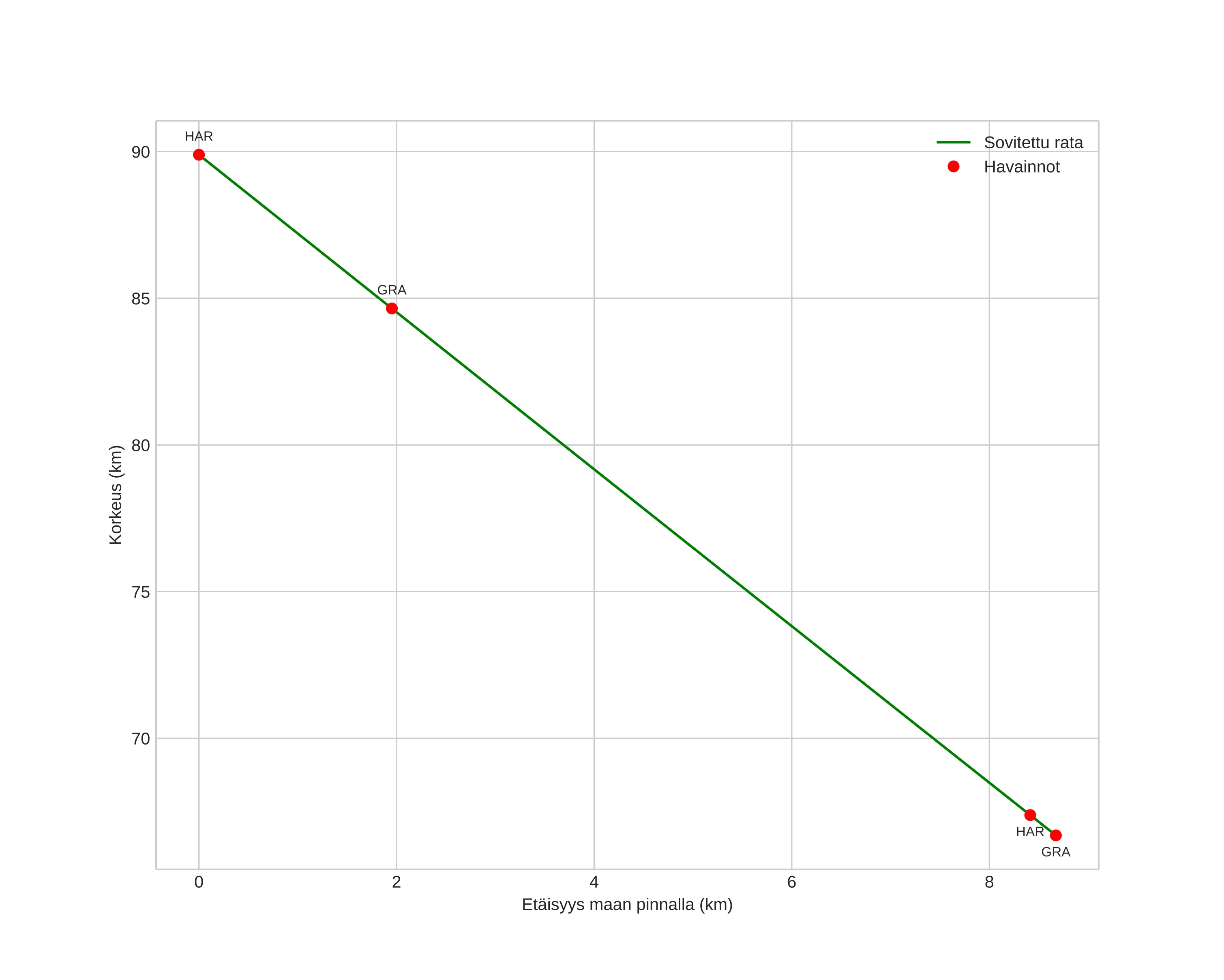
height profile
Meteorin ilmakehärata:
Alkukorkeus: 89,9 km
Loppukorkeus: 66,7 km
Alkupiste: 61,560N 11,190E
Loppupiste: 61,487N 11,247E
Suunta: 159,6°
Kallistuskulma: 69,5°
Tulonopeus: 29,2 km/s
Radiantin R,A,: 17:52 (268,2°)
Radiantin Dekl,: 78,5°
Meteoriparvi: Sporadinen
Meteoroidin rataelementit:
Perihelietäisyys: 0,998 AU
Eksentrisyys: 0,454
Inklinaatio: 47,5°
Nousevan solmun pituus: 190,8°
Perihelin argumentti: 187,1°
Keskianomalia: 357,6°
Epookki: 2016 OCT 03 19:06:11
orbit plot

Ei-interaktiivinen kuvaaja | Interaktiivinen kuvaaja

position vs time
speed and acceleration