🇳🇴 🇬🇧 🇩🇪 🇨🇿 🇫🇮

Meteor, poloha: Lena 2016-10-25 21:35:09 UTC

Soubor KML  |  InteraktivnĂ­ mapa

Mapa zobrazuje dráhy meteoru. Světlejší čáry ukazují směry od pozorovacích stanic při objevení se meteoru a tmavší čáry, kde byl naposledy viděn. Modrá šipka značí viditelnou dráhu meteoru.

static map
height profile
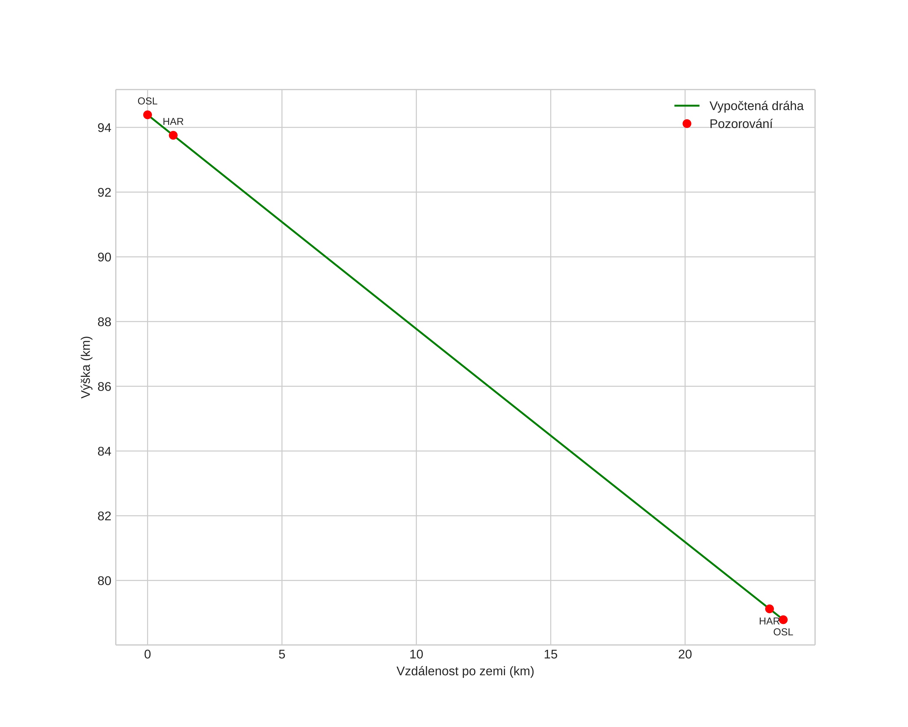
Atmosférická dráha meteoru:
Počáteční výška: 94,4 km
Konečná výška: 78,8 km
Počáteční poloha: 60,310N 10,896E
Konečná poloha: 60,506N 10,728E
Směr: 337,0°
Sklon: 33,4°
VstupnĂ­ rychlost: 25,5 km/s
Rektascenze radiantu: 01:53 (28,3°)
Deklinace radiantu: 2,3°
MeteorickĂ˝ roj: sporadickĂ˝
Elementy dráhy meteoroidu:
Vzdálenost v periheliu: 0,630 AU
Excentricita: 0,848
Sklon dráhy: 6,1°
Délka vzestupného uzlu: 32,7°
Argument perihelia: 78,3°
Střední anomálie: 355,2°
Epocha: 2016 OCT 25 21:35:09
orbit plot

NeinteraktivnĂ­ graf | InteraktivnĂ­ graf

position vs time
speed and acceleration