🇳🇴 🇬🇧 🇩🇪 🇨🇿 🇫🇮

Meteor Lenan yllä 2016-10-25 21:35:09 UTC

KML-tiedosto  |  Interaktiivinen kartta

Kartta näyttää meteorin suuntahavainnot. Vaaleammat viivat näyttävät suunnat havaintoasemilta meteorin ilmestyessä, ja tummemmat viivat näyttävät, missä se viimeksi nähtiin. Sininen nuoli näyttää meteorin näkyvän lennon.

static map
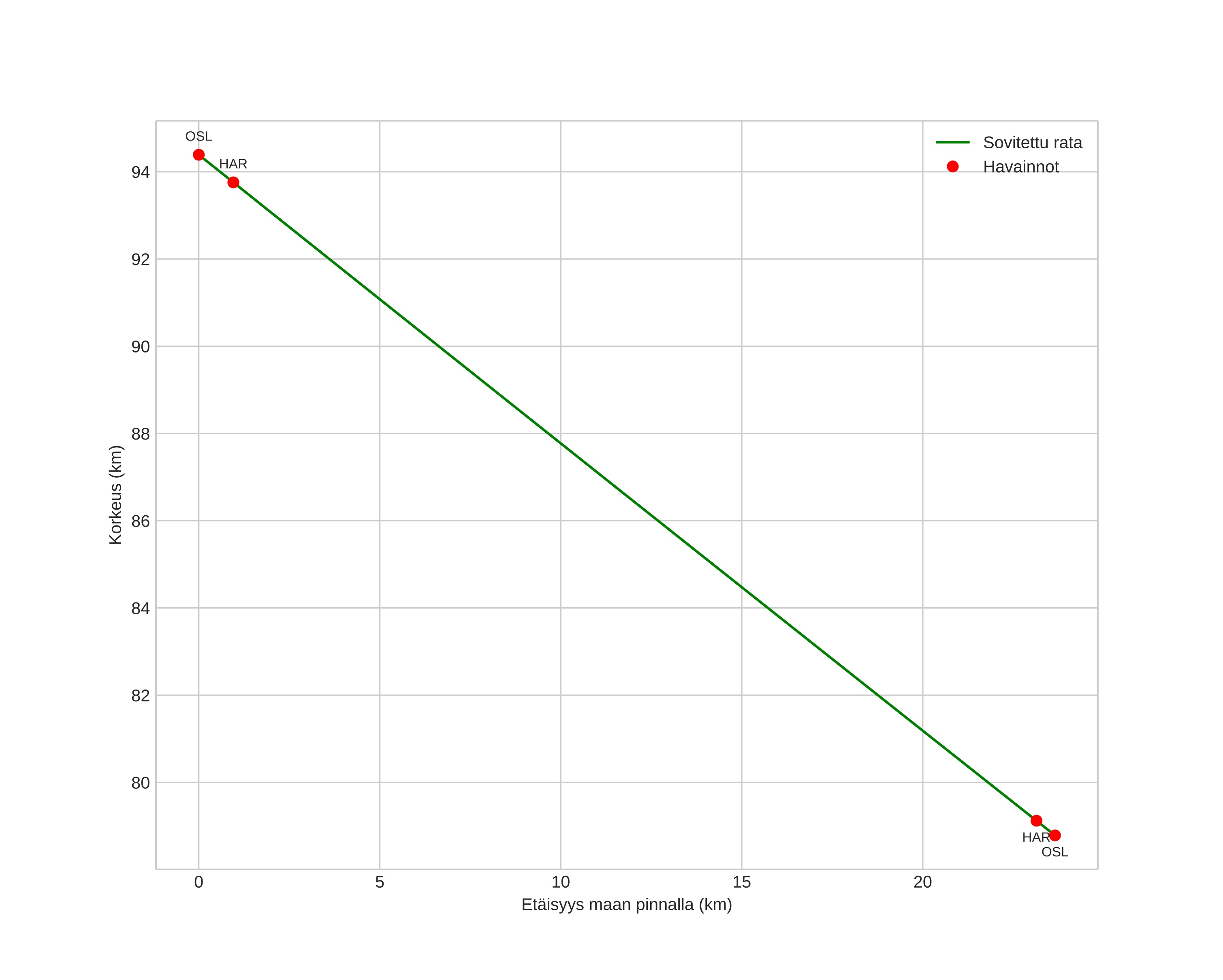
height profile
Meteorin ilmakehärata:
Alkukorkeus: 94,4 km
Loppukorkeus: 78,8 km
Alkupiste: 60,310N 10,896E
Loppupiste: 60,506N 10,728E
Suunta: 337,0°
Kallistuskulma: 33,4°
Tulonopeus: 25,5 km/s
Radiantin R,A,: 01:53 (28,3°)
Radiantin Dekl,: 2,3°
Meteoriparvi: Sporadinen
Meteoroidin rataelementit:
Perihelietäisyys: 0,630 AU
Eksentrisyys: 0,848
Inklinaatio: 6,1°
Nousevan solmun pituus: 32,7°
Perihelin argumentti: 78,3°
Keskianomalia: 355,2°
Epookki: 2016 OCT 25 21:35:09
orbit plot

Ei-interaktiivinen kuvaaja | Interaktiivinen kuvaaja

position vs time
speed and acceleration