🇳🇴 🇬🇧 🇩🇪 🇨🇿 🇫🇮

Meteor, poloha: FosnavĂĄg 2016-11-02 21:07:44 UTC

Soubor KML  |  InteraktivnĂ­ mapa

Mapa zobrazuje dráhy meteoru. Světlejší čáry ukazují směry od pozorovacích stanic při objevení se meteoru a tmavší čáry, kde byl naposledy viděn. Modrá šipka značí viditelnou dráhu meteoru.

static map
height profile
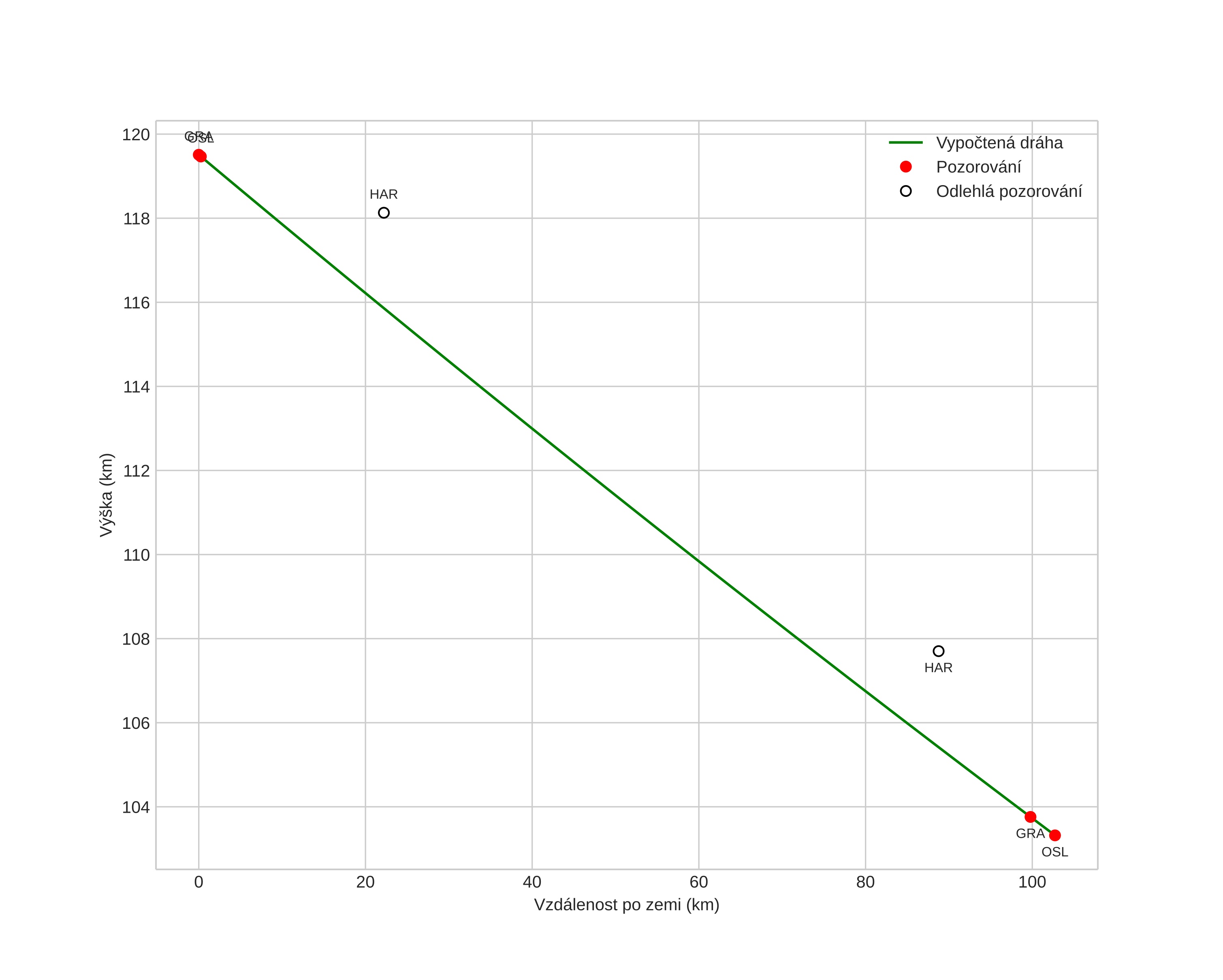
Atmosférická dráha meteoru:
Počáteční výška: 119,5 km
Konečná výška: 103,3 km
Počáteční poloha: 64,129N 5,742E
Konečná poloha: 64,805N 4,279E
Směr: 317,6°
Sklon: 9,0°
VstupnĂ­ rychlost: 80,8 km/s
Rektascenze radiantu: 03:10 (47,6°)
Deklinace radiantu: -10,8°
MeteorickĂ˝ roj: sporadickĂ˝
Elementy dráhy meteoroidu:
Vzdálenost v periheliu: 0,484 AU
Excentricita: 3,990
Sklon dráhy: 52,0°
Délka vzestupného uzlu: 40,7°
Argument perihelia: 68,9°
Střední anomálie: -270,6°
Epocha: 2016 NOV 02 21:07:44
orbit plot

NeinteraktivnĂ­ graf | InteraktivnĂ­ graf

position vs time
speed and acceleration