🇳🇴 🇬🇧 🇩🇪 🇨🇿 🇫🇮

Meteor Fosnavågin yllä 2016-11-02 21:07:44 UTC

KML-tiedosto  |  Interaktiivinen kartta

Kartta näyttää meteorin suuntahavainnot. Vaaleammat viivat näyttävät suunnat havaintoasemilta meteorin ilmestyessä, ja tummemmat viivat näyttävät, missä se viimeksi nähtiin. Sininen nuoli näyttää meteorin näkyvän lennon.

static map
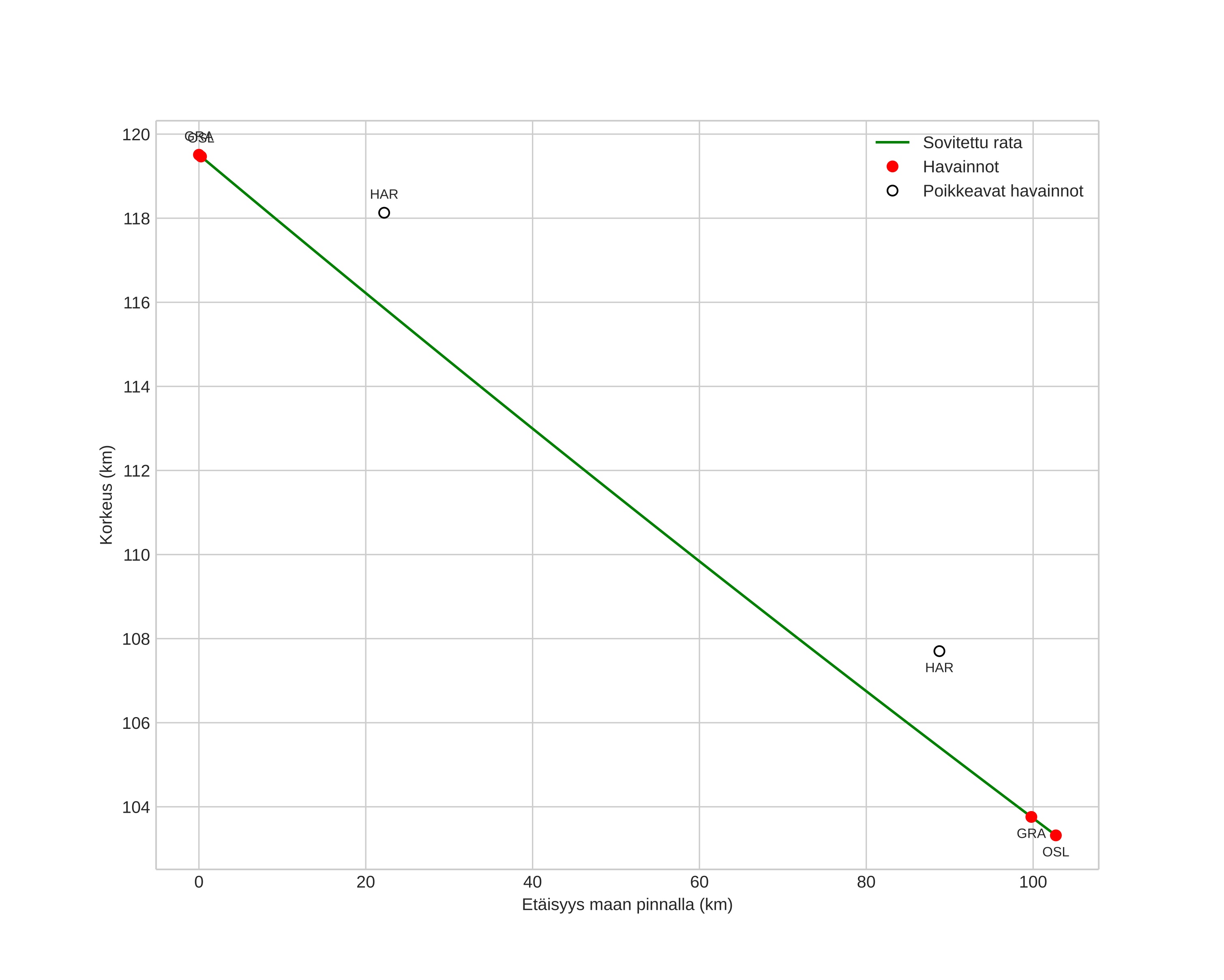
height profile
Meteorin ilmakehärata:
Alkukorkeus: 119,5 km
Loppukorkeus: 103,3 km
Alkupiste: 64,129N 5,742E
Loppupiste: 64,805N 4,279E
Suunta: 317,6°
Kallistuskulma: 9,0°
Tulonopeus: 80,8 km/s
Radiantin R,A,: 03:10 (47,6°)
Radiantin Dekl,: -10,8°
Meteoriparvi: Sporadinen
Meteoroidin rataelementit:
Perihelietäisyys: 0,484 AU
Eksentrisyys: 3,990
Inklinaatio: 52,0°
Nousevan solmun pituus: 40,7°
Perihelin argumentti: 68,9°
Keskianomalia: -270,6°
Epookki: 2016 NOV 02 21:07:44
orbit plot

Ei-interaktiivinen kuvaaja | Interaktiivinen kuvaaja

position vs time
speed and acceleration