🇳🇴 🇬🇧 🇩🇪 🇨🇿 🇫🇮

Meteor, poloha: Årjäng 2016-11-11 23:10:01 UTC

Soubor KML  |  InteraktivnĂ­ mapa

Mapa zobrazuje dráhy meteoru. Světlejší čáry ukazují směry od pozorovacích stanic při objevení se meteoru a tmavší čáry, kde byl naposledy viděn. Modrá šipka značí viditelnou dráhu meteoru.

static map
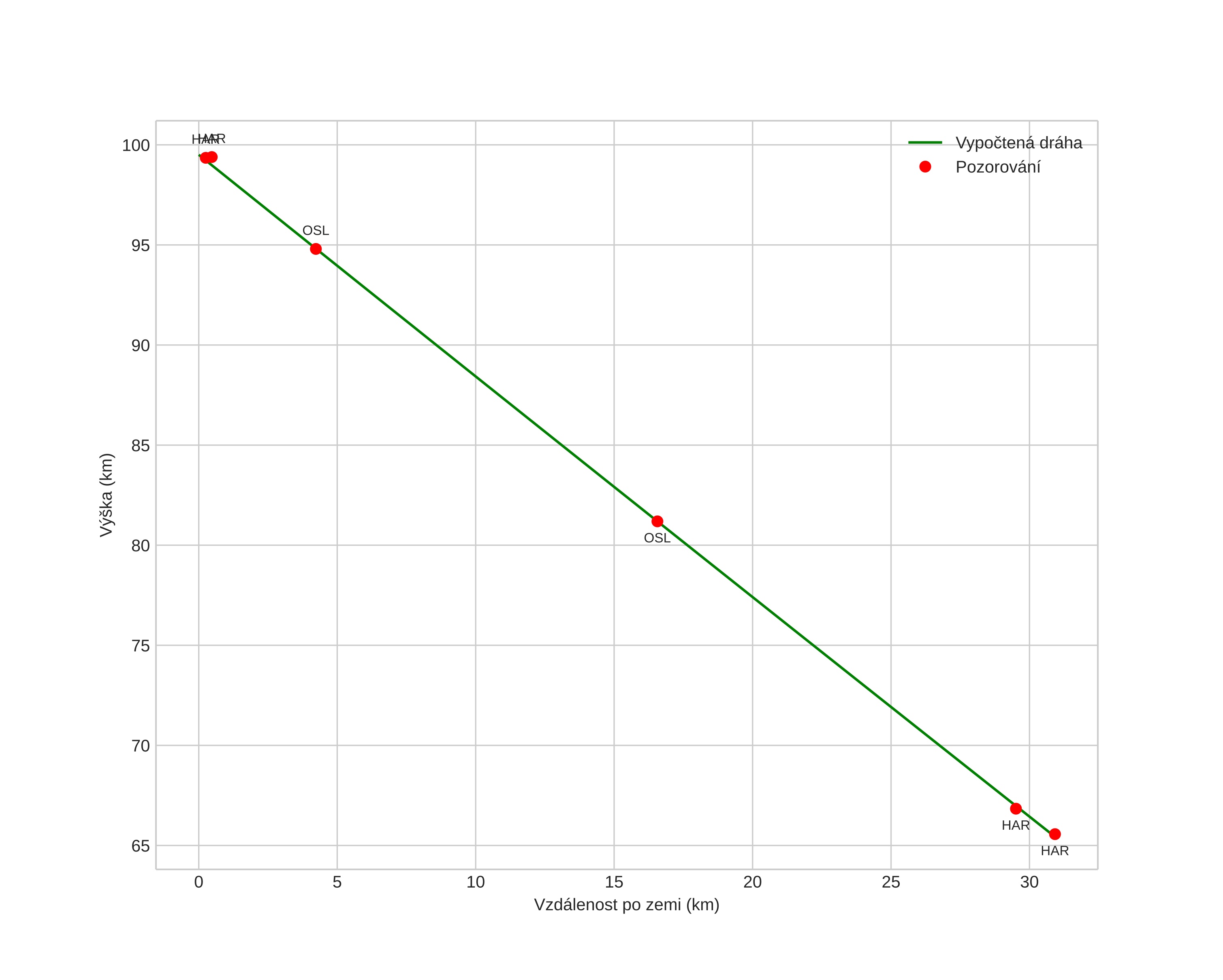
height profile
Atmosférická dráha meteoru:
Počáteční výška: 99,5 km
Konečná výška: 65,5 km
Počáteční poloha: 58,961N 12,188E
Konečná poloha: 59,234N 12,087E
Směr: 349,2°
Sklon: 47,8°
VstupnĂ­ rychlost: 31,6 km/s
Rektascenze radiantu: 03:52 (58,1°)
Deklinace radiantu: 15,5°
MeteorickĂ˝ roj: JiĹľnĂ­ Tauridy
Elementy dráhy meteoroidu:
Vzdálenost v periheliu: 0,376 AU
Excentricita: 0,879
Sklon dráhy: 5,3°
Délka vzestupného uzlu: 49,8°
Argument perihelia: 109,0°
Střední anomálie: 352,7°
Epocha: 2016 NOV 11 23:10:01
orbit plot

NeinteraktivnĂ­ graf | InteraktivnĂ­ graf

position vs time
speed and acceleration