🇳🇴 🇬🇧 🇩🇪 🇨🇿 🇫🇮

Meteor Årjängin yllä 2016-11-11 23:10:01 UTC

KML-tiedosto  |  Interaktiivinen kartta

Kartta näyttää meteorin suuntahavainnot. Vaaleammat viivat näyttävät suunnat havaintoasemilta meteorin ilmestyessä, ja tummemmat viivat näyttävät, missä se viimeksi nähtiin. Sininen nuoli näyttää meteorin näkyvän lennon.

static map
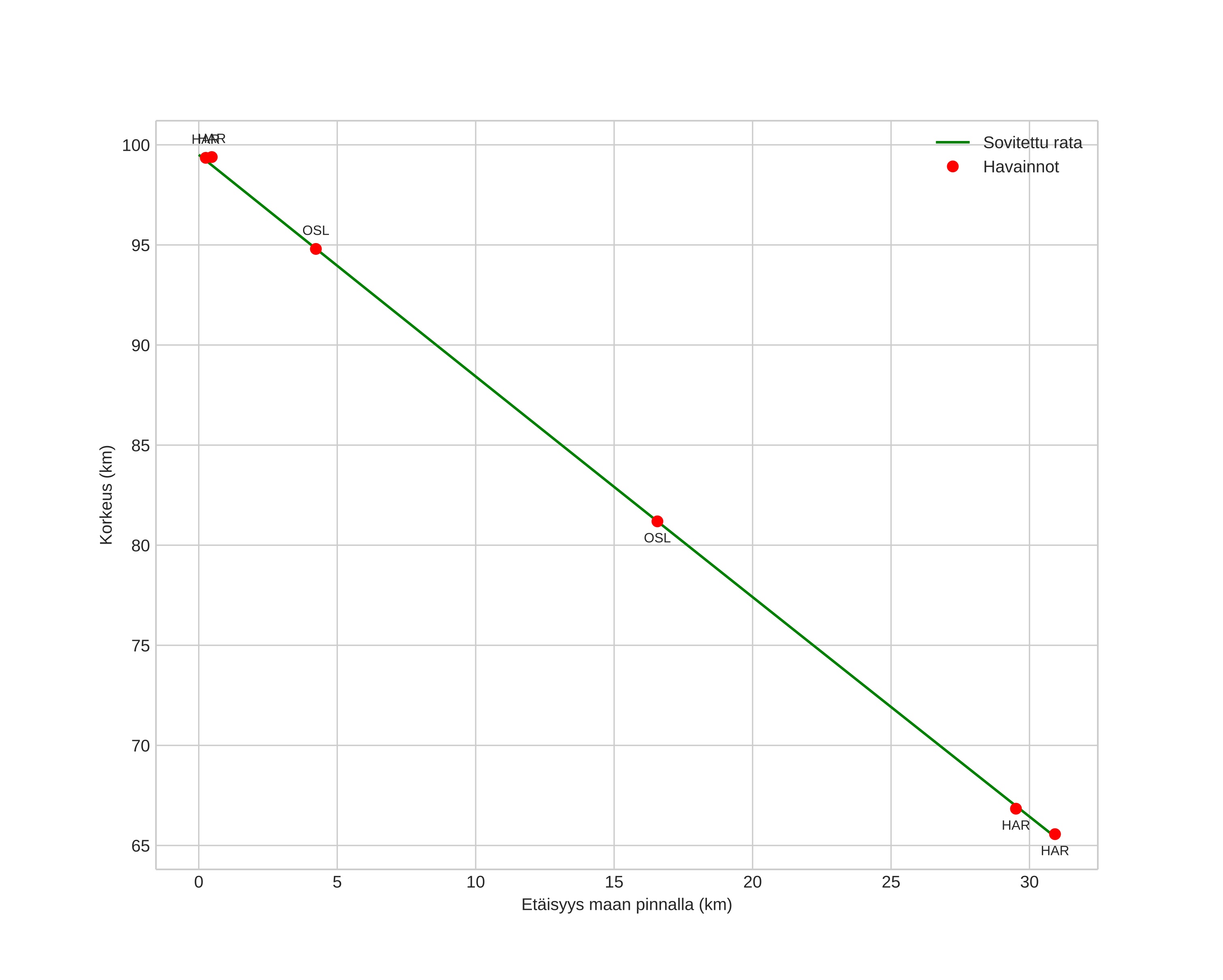
height profile
Meteorin ilmakehärata:
Alkukorkeus: 99,5 km
Loppukorkeus: 65,5 km
Alkupiste: 58,961N 12,188E
Loppupiste: 59,234N 12,087E
Suunta: 349,2°
Kallistuskulma: 47,8°
Tulonopeus: 31,6 km/s
Radiantin R,A,: 03:52 (58,1°)
Radiantin Dekl,: 15,5°
Meteoriparvi: Eteläiset tauridit
Meteoroidin rataelementit:
Perihelietäisyys: 0,376 AU
Eksentrisyys: 0,879
Inklinaatio: 5,3°
Nousevan solmun pituus: 49,8°
Perihelin argumentti: 109,0°
Keskianomalia: 352,7°
Epookki: 2016 NOV 11 23:10:01
orbit plot

Ei-interaktiivinen kuvaaja | Interaktiivinen kuvaaja

position vs time
speed and acceleration