🇳🇴 🇬🇧 🇩🇪 🇨🇿 🇫🇮

Meteor, poloha: Mysen 2016-11-17 00:43:59 UTC

Soubor KML  |  InteraktivnĂ­ mapa

Mapa zobrazuje dráhy meteoru. Světlejší čáry ukazují směry od pozorovacích stanic při objevení se meteoru a tmavší čáry, kde byl naposledy viděn. Modrá šipka značí viditelnou dráhu meteoru.

static map
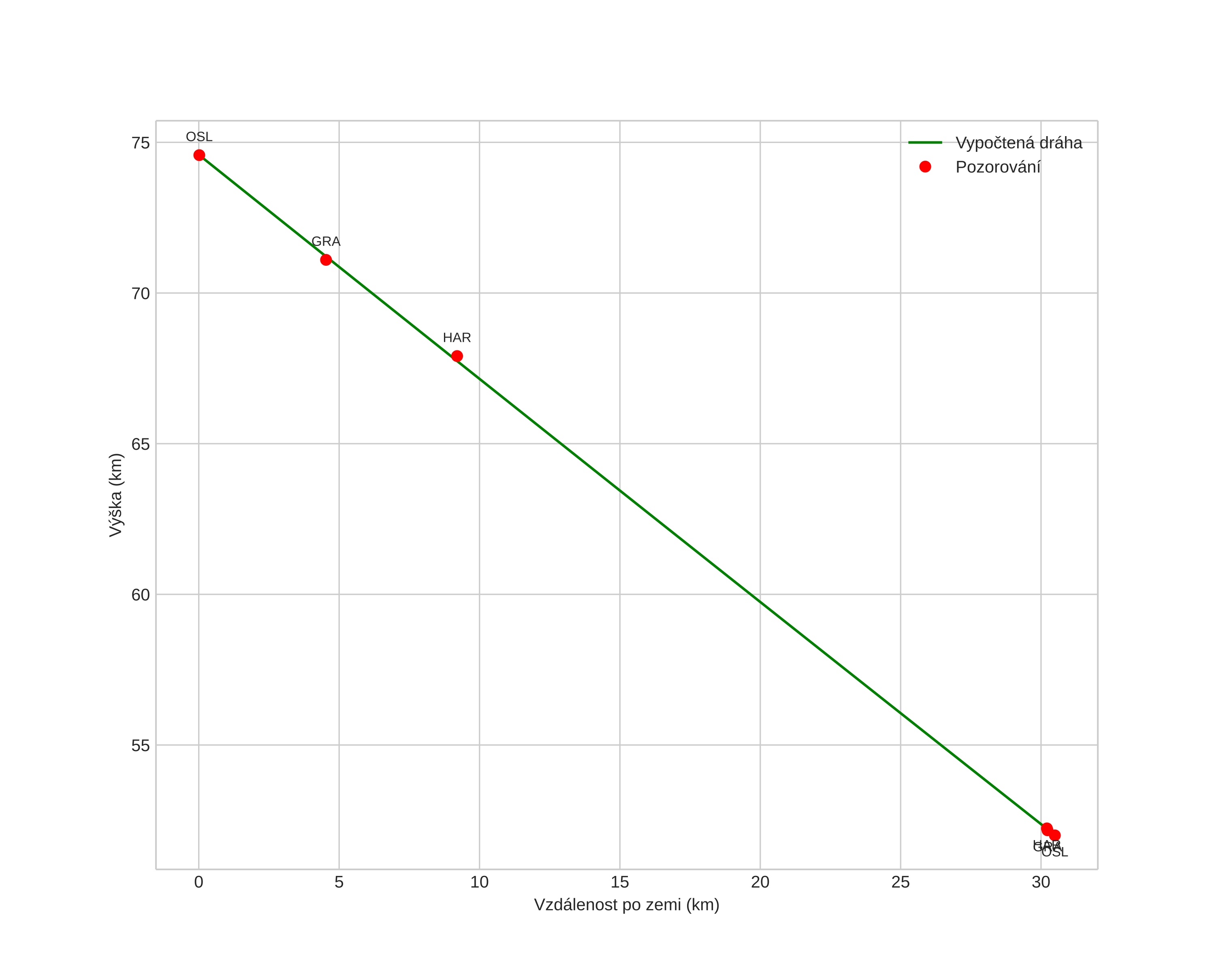
height profile
Atmosférická dráha meteoru:
Počáteční výška: 74,6 km
Konečná výška: 52,0 km
Počáteční poloha: 59,498N 10,776E
Konečná poloha: 59,573N 11,296E
Směr: 73,8°
Sklon: 36,5°
VstupnĂ­ rychlost: 16,0 km/s
Rektascenze radiantu: 01:00 (15,2°)
Deklinace radiantu: 15,3°
MeteorickĂ˝ roj: sporadickĂ˝
Elementy dráhy meteoroidu:
Vzdálenost v periheliu: 0,903 AU
Excentricita: 0,655
Sklon dráhy: 2,6°
Délka vzestupného uzlu: 234,8°
Argument perihelia: 218,6°
Střední anomálie: 353,5°
Epocha: 2016 NOV 17 00:43:59
orbit plot

NeinteraktivnĂ­ graf | InteraktivnĂ­ graf

position vs time
speed and acceleration