🇳🇴 🇬🇧 🇩🇪 🇨🇿 🇫🇮

Meteor Mysenin yllä 2016-11-17 00:43:59 UTC

KML-tiedosto  |  Interaktiivinen kartta

Kartta näyttää meteorin suuntahavainnot. Vaaleammat viivat näyttävät suunnat havaintoasemilta meteorin ilmestyessä, ja tummemmat viivat näyttävät, missä se viimeksi nähtiin. Sininen nuoli näyttää meteorin näkyvän lennon.

static map
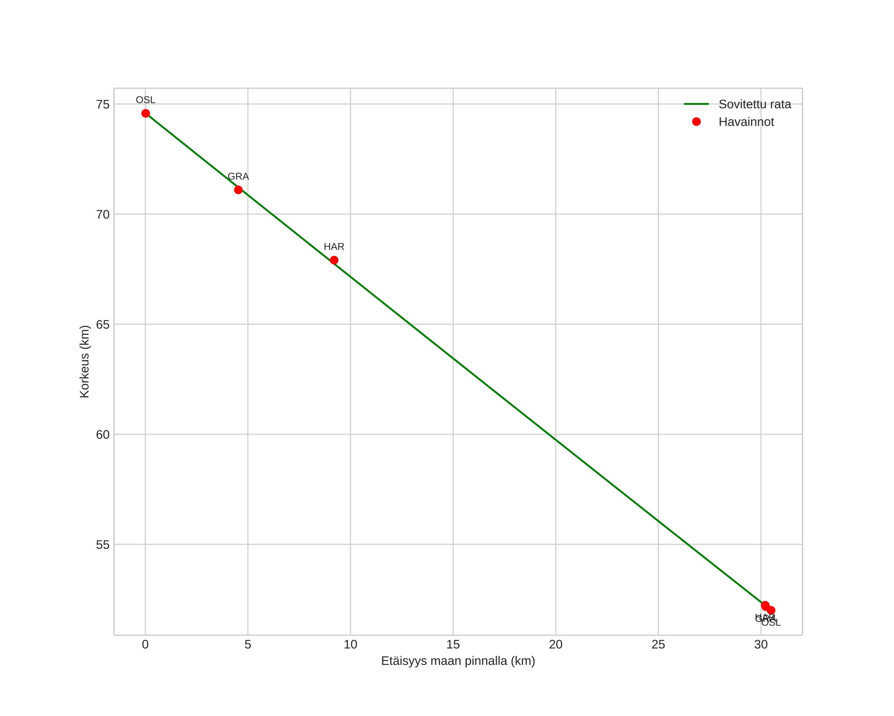
height profile
Meteorin ilmakehärata:
Alkukorkeus: 74,6 km
Loppukorkeus: 52,0 km
Alkupiste: 59,498N 10,776E
Loppupiste: 59,573N 11,296E
Suunta: 73,8°
Kallistuskulma: 36,5°
Tulonopeus: 16,0 km/s
Radiantin R,A,: 01:00 (15,2°)
Radiantin Dekl,: 15,3°
Meteoriparvi: Sporadinen
Meteoroidin rataelementit:
Perihelietäisyys: 0,903 AU
Eksentrisyys: 0,655
Inklinaatio: 2,6°
Nousevan solmun pituus: 234,8°
Perihelin argumentti: 218,6°
Keskianomalia: 353,5°
Epookki: 2016 NOV 17 00:43:59
orbit plot

Ei-interaktiivinen kuvaaja | Interaktiivinen kuvaaja

position vs time
speed and acceleration