🇳🇴 🇬🇧 🇩🇪 🇨🇿 🇫🇮

Meteor, poloha: Sand 2016-11-17 05:05:41 UTC

Soubor KML  |  InteraktivnĂ­ mapa

Mapa zobrazuje dráhy meteoru. Světlejší čáry ukazují směry od pozorovacích stanic při objevení se meteoru a tmavší čáry, kde byl naposledy viděn. Modrá šipka značí viditelnou dráhu meteoru.

static map
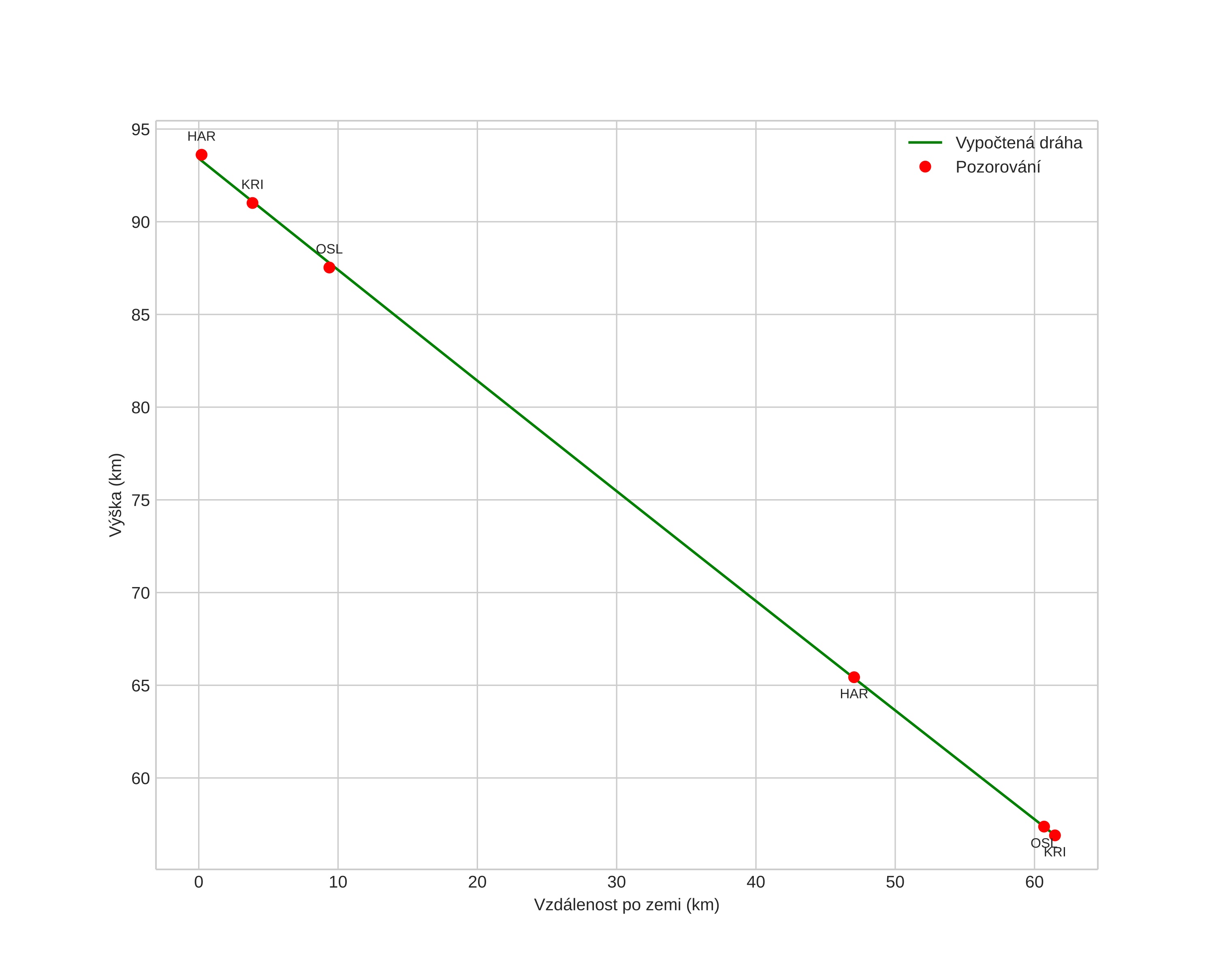
height profile
Atmosférická dráha meteoru:
Počáteční výška: 93,4 km
Konečná výška: 56,9 km
Počáteční poloha: 59,406N 5,146E
Konečná poloha: 59,405N 6,233E
Směr: 89,6°
Sklon: 30,7°
VstupnĂ­ rychlost: 29,8 km/s
Rektascenze radiantu: 04:13 (63,5°)
Deklinace radiantu: 23,6°
MeteorickĂ˝ roj: SevernĂ­ Tauridy
Elementy dráhy meteoroidu:
Vzdálenost v periheliu: 0,374 AU
Excentricita: 0,830
Sklon dráhy: 2,7°
Délka vzestupného uzlu: 235,0°
Argument perihelia: 291,8°
Střední anomálie: 347,2°
Epocha: 2016 NOV 17 05:05:41
orbit plot

NeinteraktivnĂ­ graf | InteraktivnĂ­ graf

position vs time
speed and acceleration