🇳🇴 🇬🇧 🇩🇪 🇨🇿 🇫🇮

Meteor Sandin yllä 2016-11-17 05:05:41 UTC

KML-tiedosto  |  Interaktiivinen kartta

Kartta näyttää meteorin suuntahavainnot. Vaaleammat viivat näyttävät suunnat havaintoasemilta meteorin ilmestyessä, ja tummemmat viivat näyttävät, missä se viimeksi nähtiin. Sininen nuoli näyttää meteorin näkyvän lennon.

static map
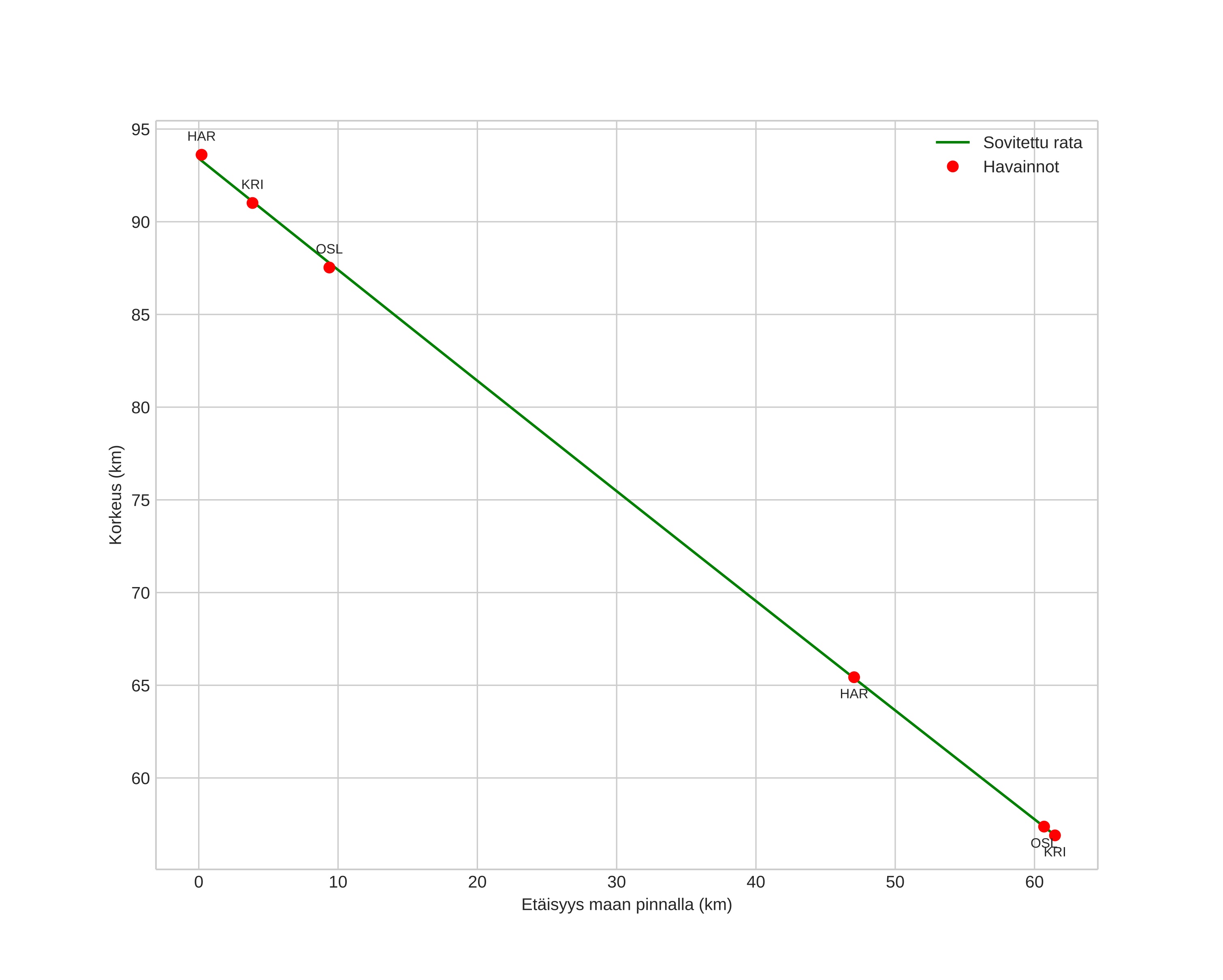
height profile
Meteorin ilmakehärata:
Alkukorkeus: 93,4 km
Loppukorkeus: 56,9 km
Alkupiste: 59,406N 5,146E
Loppupiste: 59,405N 6,233E
Suunta: 89,6°
Kallistuskulma: 30,7°
Tulonopeus: 29,8 km/s
Radiantin R,A,: 04:13 (63,5°)
Radiantin Dekl,: 23,6°
Meteoriparvi: Pohjoiset tauridit
Meteoroidin rataelementit:
Perihelietäisyys: 0,374 AU
Eksentrisyys: 0,830
Inklinaatio: 2,7°
Nousevan solmun pituus: 235,0°
Perihelin argumentti: 291,8°
Keskianomalia: 347,2°
Epookki: 2016 NOV 17 05:05:41
orbit plot

Ei-interaktiivinen kuvaaja | Interaktiivinen kuvaaja

position vs time
speed and acceleration