🇳🇴 🇬🇧 🇩🇪 🇨🇿 🇫🇮

Meteor, poloha: Skarnes 2016-11-24 21:26:56 UTC

Soubor KML  |  InteraktivnĂ­ mapa

Mapa zobrazuje dráhy meteoru. Světlejší čáry ukazují směry od pozorovacích stanic při objevení se meteoru a tmavší čáry, kde byl naposledy viděn. Modrá šipka značí viditelnou dráhu meteoru.

static map
height profile
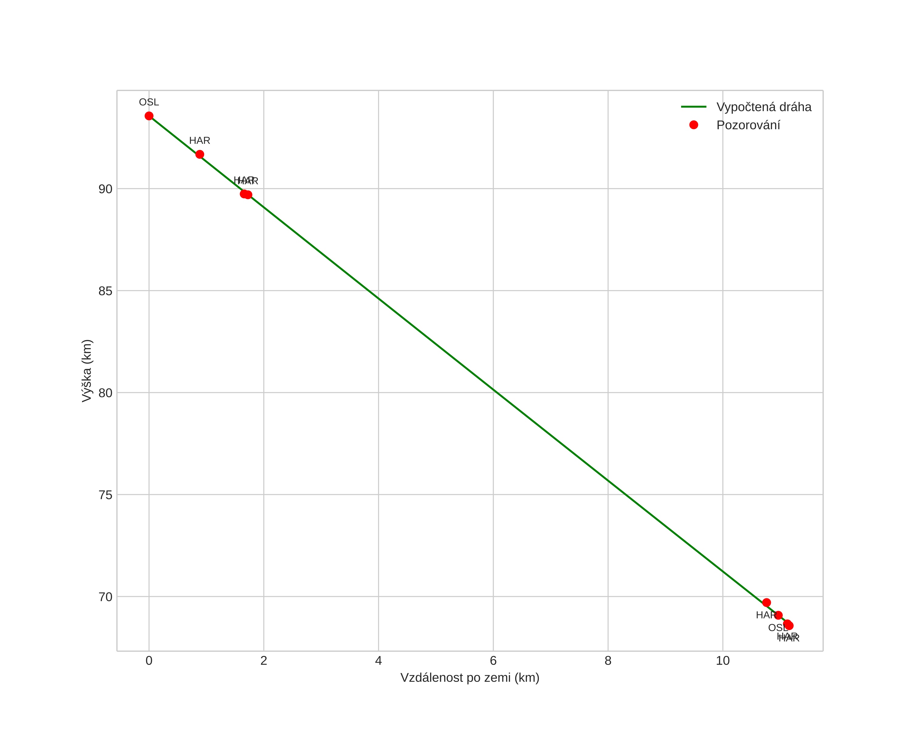
Atmosférická dráha meteoru:
Počáteční výška: 93,6 km
Konečná výška: 68,6 km
Počáteční poloha: 60,513N 11,659E
Konečná poloha: 60,424N 11,754E
Směr: 152,4°
Sklon: 65,9°
VstupnĂ­ rychlost: 27,2 km/s
Rektascenze radiantu: 22:29 (337,4°)
Deklinace radiantu: 76,2°
MeteorickĂ˝ roj: sporadickĂ˝
Elementy dráhy meteoroidu:
Vzdálenost v periheliu: 0,926 AU
Excentricita: 0,816
Sklon dráhy: 36,1°
Délka vzestupného uzlu: 242,8°
Argument perihelia: 210,4°
Střední anomálie: 358,1°
Epocha: 2016 NOV 24 21:26:56
orbit plot

NeinteraktivnĂ­ graf | InteraktivnĂ­ graf

position vs time
speed and acceleration